阿摩線上測驗
登入
首頁
>
通信系統
>
105年 - 105年高等三級暨普通考高考三級通信與系統 #54300
> 申論題
題組內容
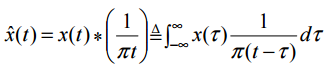
一、希爾柏(Hilbert)轉換,可將訊號 x(t ) 轉換為 xˆ(t ) ,表示為 x(t ) 與1 /(π t ) 的迴旋積分 (convolution)如下:
⑵求 cos(2π f ct ) 的希爾柏轉換。 (5分)
相關申論題
T ⑴求相對於 H ( f ) 之脈衝響應 h (t)。
#201152
⑵求該匹配濾波器所匹配的訊號。
#201153
⑴求訊號集合 A 及訊號集合 B 之平均能量。
#201154
⑵接收端若使用最大相似檢測(maximum likelihood detector) ,求使用訊號集合 A 之 錯誤率。
#201155
⑶接收端若使用最大相似檢測(maximum likelihood detector),求使用訊號集合 B 之 錯誤率。
#201156
⑷訊號集合 A 或 B 有較佳之錯誤率表現?
#201157
⑴考慮通道編碼(channel coding)使用長度為 2 之重複碼(repetition code) ,也就是 使用碼集合為 C = {[0,0],[1,1]} 在 BEC 上進行傳輸。若接收向量為[1, e],求最大相似 (maximum likelihood, ML)碼字。
#201158
⑵承⑴,若使用最大相似(ML)解碼,則平均解碼錯誤率為何?
#201159
一、就業問題是各國政府必須積極面對的問題,歐盟國家在過去十幾年中推出了彈性保 障的政策與作法,請問何謂「彈性保障」(flexicurity)?(10 分)丹麥、荷蘭等歐盟 國家在此一彈性保障政策下有那些積極的作法,我國又有那些可以學習之處? (20 分)
#201160
二、最近國內發生了幾件勞資爭議案件,爭議一方之雇主表示要將該爭議案件送交仲 裁。請問何謂仲裁?(10 分)我國的勞資爭議發生後在處理過程中,有那幾種情形 可以進入勞資爭議的仲裁程序,請詳細說明之。 (20 分)
#201161
相關試卷
114年 - 114 地方政府公務特種考試_四等_電信工程:通信系統概要#134755
114年 · #134755
114年 - 114 地方政府公務特種考試_三等_電信工程:通信與系統#134723
114年 · #134723
114年 - 114 公務升官等考試_薦任_電信工程:通信與系統#133270
114年 · #133270
114年 - 114 調查特種考試_三等_電子科學組:通信與系統#129592
114年 · #129592
114年 - 114 高等考試_三級_電信工程:通信與系統#128757
114年 · #128757
114年 - 114 普通考試_電信工程:通信系統概要#128733
114年 · #128733
113年 - 113 地方政府公務特種考試_四等_電信工程:通信系統概要#124540
113年 · #124540
113年 - 113 調查特種考試_三等_電子科學組:通信與系統#122111
113年 · #122111
113年 - 113 普通考試_電信工程:通信系統概要#121514
113年 · #121514
113年 - 113 高等考試_三級_電信工程:通信與系統#121501
113年 · #121501