阿摩線上測驗
登入
首頁
>
統計學
>
98年 - 98 公務升官等考試_薦任_統計、經建行政、工業行政:統計學#47426
> 申論題
題組內容
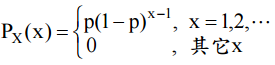
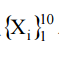
三、設
為一組來自幾何 Geo(p)分配之隨機樣本,其中參數 p 未知,其機率質點函 數為
⑵試求 p 之最大概似估計元(maxima likelihood estimate)。(10 分)
相關申論題
⑴試計算 k 值使得 f(x,y)為一良好定義之 pdf。(10 分)
#163240
⑵試分別計算 X 與 Y 之邊際 pdf。(10 分)
#163241
⑶給定 X = 1 / 2 ,試計算 Y |X =1 / 2 之條件 pdf。(10 分)
#163242
⑴ 。(10 分)
#163243
⑵之第 90%百分位數(percentile)。(10 分)
#163244
⑴試寫出 p 之參數空間。(2)試求 p 之動差估計元(method of moment estimate)。 (10 分)
#163245
⑴試以最小平方法(LSE)求此資料之樣本迴歸線。(10 分)
#163247
⑵欲對 β1 作推論時:⑴需對誤差項 ε i 作何種分配假設?(2)並以 α = 0.05 作 β1 是否顯 著之檢定,若以報表計算而得之小 p = 0.005 ,則 β1 是否顯著?(3)試說明 β1 之含意。 (10 分)
#163248
⑶計算此模型之⑴判定係數R2。(2)及X與Y之樣本相關係數r。(3.)並分別解釋其含意 。(10 分)
#163249
四、隨機選取1200名員工,調查某公司生產部門、銷售部門、財務部門、維修部門等四個部門的滿意度,結果如下表所示。試以α=0.05的顯著水準,計算出卡方統計量(請取至小數 點第2位),並試問滿意度是否隨著部門不同而有所不同? [χ 2 (0.05,5)=11.071; χ 2 (0.05,6)=12.592; χ2 (0.05,7)=14.067]以上問題請寫出虛無假設與對立假設(5分)、卡方值(15分)、假設驗證(5分)。
#562245
相關試卷
114年 - 114 地方政府公務、離島地區公務特種考試_三等_經建行政、農業行政:統計學#134798
114年 · #134798
114年 - 114 地方政府公務、離島地區公務特種考試_四等_經建行政:統計學概要#134781
114年 · #134781
114年 - 114 地方政府公務特種考試_三等_統計:統計學#134714
114年 · #134714
114年 - 114 地方政府公務特種考試_四等_統計:統計學概要#134710
114年 · #134710
114年 - 114 公務升官等考試_薦任_經建行政、工業行政:統計學#133268
114年 · #133268
114年 - 114 公務升官等考試_薦任_統計:統計學#133252
114年 · #133252
114年 - 114 原住民族特種考試_四等_經建行政:統計學概要#130952
114年 · #130952
114年 - 114 原住民族特種考試_三等_經建行政:統計學#130950
114年 · #130950
114年 - 114 普通考試_經建行政:統計學概要#128743
114年 · #128743
114年 - 114 高等考試_三級_經建行政、工業行政、農業行政:統計學#128681
114年 · #128681