阿摩線上測驗
登入
首頁
>
自動控制學
>
108年 - 108 高等三級 自動控制#77986
> 申論題
申論題
試卷:108年 - 108 高等三級 自動控制#77986
科目:自動控制學
年份:108年
排序:0
申論題資訊
試卷:
108年 - 108 高等三級 自動控制#77986
科目:
自動控制學
年份:
108年
排序:
0
題組內容
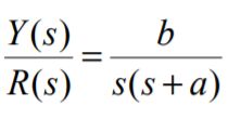
三、已知一系統之轉移函數為
,其中 R (s ) 與 Y (s ) 分別表示輸入 R( s) s( s + a) 與輸出。
申論題內容
⑶求解此系統之單位步階(unit step)響應。(6 分)