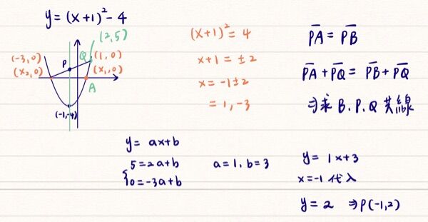
1. 已知二次函數
y =x 2 +2
x -3 的圖形與
x
軸交於點
A
( x1 ‚0)、 B
(x 2 ‚0),
其中 x1 >x 2 。設
Q
(2‚ y0 )為
y = x2 +2
x -3 上的一點,在此二次函數的對稱軸上找一點
P
,使得
的值最小,則
P
點坐標為何?
1. 已知二次函數
y =x 2 +2
x -3 的圖形與
x
軸交於點
A
( x1 ‚0)、 B
(x 2 ‚0),
其中 x1 >x 2 。設
Q
(2‚ y0 )為
y = x2 +2
x -3 上的一點,在此二次函數的對稱軸上找一點
P
,使得
的值最小,則
P
點坐標為何?