阿摩線上測驗
登入
首頁
>
研究所、轉學考(插大)-微積分
>
114年 - 114 台灣聯合大學系統_學士班轉學生考試試題:微積分#137761
> 申論題
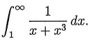
2. (a) Evaluate the integral
相關申論題
1. Evaluate the limit .
#564301
2.
#564302
3. Find the volume of the solid obtained by rotating about the x-axis the region enclosed by the curves , y = 0, x = 0, and = 2.
#564303
4.Find the absolute maximum value of f(x,y) = (x2 + 2y2) on the set D,where D is the disk x2 + y² ≤ 4.
#564304
5. Suppose z = f(x,y), where x = g(s,t), y = h(s, t), g(1,2) = 3, gs(1,2) = -1,gt(1,2) =4, h(1,2) = 6, h(1, 2) = -5, h(1,2) = 10, fa(3, 6) = 7, and fy(3,6) =8. Find Əz/Os when s = 1 and t = 2.
#564305
6. Find the directional derivative of the function at the point x2+y2 P(1,2) in the direction of v = (3, 4).
#564306
7. Evaluate the integral f dA, where R is the region enclosed by the lines x +y = 1, x + y = 3, y = 2x, and y = x/2.
#564307
8.Find the average value of the function dt on the interval (0, 2).
#564308
9. Evaluate the integral dzdxdy.
#564309
10. Evaluate .dr, where F(x, y) = and C is the triangle from (0,0) to (1,1) to (0,1) to (0, 0).
#564310
相關試卷
114年 - 114 台灣聯合大學系統_學士班轉學生考試試題:微積分#137762
114年 · #137762
114年 - 114 台灣聯合大學系統_學士班轉學生考試試題:微積分#137761
114年 · #137761
114年 - 114 國立臺灣大學_轉學生招生考試_物理學系/土木工程學系/生物環境系統工程學系/生物機電工程學系:微積分(B)#137745
114年 · #137745
114年 - 114 國立臺灣大學_轉學生招生考試_數學系:微積分(A)#137744
114年 · #137744
113年 - 113 國立嘉義大學_轉學生招生考試試題_(全校):微積分#122986
113年 · #122986
112年 - 112 國立臺灣大學_碩士班招生考試題:微積分(D)#130254
112年 · #130254
112年 - 112 國立陽明交通大學_碩士班入學招生試題_統計學研究所﹕微積分與線性代數#130252
112年 · #130252
112年 - 112 國立嘉義大學_轉學生招生考試試題:微積分#123297
112年 · #123297
112年 - 臺灣綜合大學系統112 學年度學士班轉學生聯合招生考試試題 微積分A#120563
112年 · #120563
112年 - 112 臺灣聯合大學系統(清華、陽交、中央 聯招)學士班轉學生考試_A3、A4、A6理工組:微積分#117689
112年 · #117689