阿摩線上測驗
登入
首頁
>
高中(學測,指考)◆數學
>
110年 - 110 大學入學考試中心新型學科能力測驗試辦考試:數學A#105903
> 申論題
申論題
試卷:110年 - 110 大學入學考試中心新型學科能力測驗試辦考試:數學A#105903
科目:高中(學測,指考)◆數學
年份:110年
排序:0
申論題資訊
試卷:
110年 - 110 大學入學考試中心新型學科能力測驗試辦考試:數學A#105903
科目:
高中(學測,指考)◆數學
年份:
110年
排序:
0
題組內容
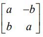
18-20題為題組
以T表由
定義的平面線性變換,其中a、b為實數。試回答下列問題。
申論題內容
20.(承19題)設P,Q為平面上兩相異點,令P'=T(P)、Q'=T(Q),試說明
為定值, 並求此值。(非選擇題,6分)