所屬科目:教甄◆物理科專業
1. 右圖為一水平桌面其下置三腳架的示意圖,A、B、C為三腳架 的三個支持點,並且形成一正三角形;三支腳架為等長,D為 三支腳的交點。如果在距AD在中點P點掛上重24kgw之物,則A 腳所分擔此物的重量是(A)20kgw (B)16kgw (C)12kgw (D)10kgw (E)8kgw
2. 質量2kg的A鉛塊以 20m/s的速度正向碰撞一靜止在光滑水平 面、質量3kg的B鉛塊,撞後合成一體運動,若系統損失的動能全部變成鉛塊的熱能,鉛 的比熱為 0.02卡/克 ℃,則鉛塊的溫度增加若干? (A)0.14℃ (B) 0.28℃(C)0.42℃ (D)0.56℃ (E) 0.70℃。
3. 波長為6000埃的光通過寬為1.2微米的單狹縫。產生暗帶的方位與入射方向所形成的夾角 約等於(A) 0°(B)15° (C) 30°(D)45° (E)60°
5. 有一物體質量為1.0克,在鏡前作SHM,平衡點在焦點F 外5.0cm,焦距10cm,彈力常數k=100dyne/cm,振幅 2.0cm,則物對鏡所成之像下列敘述何者錯誤?(A)像也 作SHM (B)週期sec (C)最大速度為40cm/sec2(D)最大加 速度為 (E)位移的方向與實物位移的方向相 同
6. 由頻率 的光子所組成的一束光線入射於一平面鏡上,其入射角為 30°。若在單位時間內 撞擊該平面鏡單位面積上的光子數為N個,則鏡面所受光壓為(A) (B) (C) (D) (E)
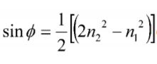
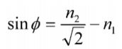
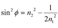
8. 兩個折射率為n1 及n2 之等腰直角稜鏡重疊在一起,如圖所 示。一束光線垂直射入第一稜鏡,若它離開第二稜鏡時與原 入射方向之夾角為Φ ,則Φ 滿足下列方程式中哪一個? (A) (B) (C) (D) (E)
9. 右圖為由五個 1Ω 電阻,和兩個電壓為 8V 的電池所組成的電路,則下列哪一項敘述錯 誤? (A) 由 結 點 E 可 知 I4 = I2 - I3 (B) 由 結 點 C 可 知 I5 = I1 + I4 (C) 由 最 上 方 迴 路 BCDEB 可 知 2I1 + I2 - 2I3 + 8 = 0 (D)由左邊三角迴路 BCEB 可知 2I2-I3-I1-8=0
10. 有一質量為 m 的太空船,環繞質量為 M 的月球作半徑 為 2R 的等速率圓周運動。當太空船運行到某處時改變 速度,使其環繞月球的運動變成軌道半徑為 3R 的等速率圓周運動;請問此太空船的運 動從半徑 2R 變為 3R,其動能的變化為何? (A)減少 (B)減少 (C)增加 (D)增加
11. 電荷為 e、質量為 m 之電子,在均勻且固定的磁場 B 中,因受磁力作用而在一平面上作 等速圓周運動。假設該電子也必須符合波耳氫原子模型中「定態假定」的條件,電子才能 穩定存在。則該電子的半徑為下列何值時可以穩定存在?(A) (B) (C) (D)
12. 設有一垂直指向紙內之均勻磁場B,如有一動量為p之質子平行 紙面以 之角度進入此磁場,如右圖所示。若質子在磁場中所 受力之大小為F,速度為v,離開磁場位置及進入磁場位置之距 離為x,則: (A) (B) , (C) , (D) , (E)
13. 如右圖所示,兩個質量皆為 4 kg 的相同木塊 ,以一力常數 k = 100 N/m 的輕彈簧連接後, 靜置於水平粗糙桌面上,此時彈簧為自然長度,已知木塊與桌面間之滑動摩擦係數為 0. 25,靜摩擦係數為 0.5 ;若以 50 牛頓的水平力 F 持續拉動 A 木塊,則在木塊 B 開始移 動前的一瞬間,A 木塊的速率為下列哪一項? 【提示:拉動過程中,木塊 B 維持靜止,A 木塊持 續 受 動 摩 擦 力 】 (A) m/s (B) m/s (C) 2 m/s (D)m/s
14. 在波耳的氫原子模型中,若 E 為電子的總能量,f 為電子作圓軌道運動的頻率,h 為卜 朗克常數,則當量子數為 n 時,下列 E 與 f 的關係式,哪一項正確﹖ (A) E = -n 2 hf (B) E=-nhf (C) E=- nhf (D) E=nhf
15. 設於某一密閉容器內裝有一莫耳單原子理想氣體,其溫度由300K升高至600K,容器之 體積不變,則下列敘述何者錯誤? (A)氣體之密度不變 (B)氣體之壓力為原來2倍 (C)氣體之方均根速率為原來2倍 (D)氣體之分子之平均動能為原來2倍 (E)在升溫過程 中氣體共吸熱 焦耳。
1、 右圖中,A、B的質量分別為 ,其接觸面光滑,置於水 平面上,B與水平面之夾角為α。若A、B與地面之摩擦係數均為μ ,今以水平力F推A,使A、B一起加速度運動且彼此無相對滑 動。則水平力F最大不能超過多少
2、 右圖中,彈簧的力常數為k,則當質量為m的木塊作簡諧運動時,其週 期為何?(不計動滑輪的質量、摩擦力
6、 帶正電荷的甲、乙兩粒子,質量分別為 ,電量分別為 ,被置於x軸上,距離 d。今若同時讓兩個粒子由靜止釋放,重力的影響不計,則乙粒子最後的速率為多少
7、 有一銅條質量m 、電阻R 、長λ ,水平放在傾斜角為θ 之兩平 行滑軌上,滑軌相距 λ且光滑無摩擦力,若有鉛直向上之磁 場 B作用於此區域, 則此銅條滑下之最大速率為何?