阿摩線上測驗
登入
首頁
>
民航◆通信原理
> 100年 - 100年民航外交三等通信原理#45329
100年 - 100年民航外交三等通信原理#45329
科目:
民航◆通信原理 |
年份:
100年 |
選擇題數:
0 |
申論題數:
10
試卷資訊
所屬科目:
民航◆通信原理
選擇題 (0)
申論題 (10)
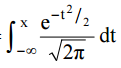
【已刪除】一、定義 Q 函數 Q(x) =
,隨機變數 X 的 probability density function(p.d.f) 是高斯分布(Gaussian distribution),且期望值是 − 1,方差是 4,請用 Q(
.
)表示機率 Pr ( X ≥ 4 ) 。(20 分)
⑴請概述其工作原理
⑵有何優缺點
⑶缺點如何改進
⑴ AM
⑵ DSB-SC
⑶ SSB
【已刪除】四、定義 Q 函數 Q(x) =
,我們欲在 AWGN(additive white Gaussian noise) 頻道中(平均值 0,且 power spectral density 是
)傳送 symbol period T=1 binary 訊 2 號,若是“1"則送出 Acos ( 2π f c t ) ,“0"則送出 Acos(2π f
c
t + π ) ,如果“1"和“0" 的機會均等,請用 Q 函數表示最佳接收器的位元錯誤率。(20 分)
⑴若要傳送 12 Mbps 且使用 BPSK 及 rate=1/2 convolutional codes ,則 symbol duration 是多少?
⑵若加計 25% 訊號頻寬做為 guard band,但採用 QPSK,則 symbol duration 是多少?
相關試卷
113年 - 113 民航特種考試_三等_航空通信:通信原理#122663
113年 · #122663
112年 - 112 民航特種考試_三等_航空通信:通信原理#116576
112年 · #116576
111年 - 111 民航特種考試_三等_航空通信:通信原理#110674
111年 · #110674
110年 - 110 民航特種考試_三等_航空通信:通信原理#101041
110年 · #101041
107年 - 107 民航 三等 通信原理#71945
107年 · #71945
105年 - 105年民航三等通信原理 #56465
105年 · #56465
104年 - 104年民航人員三等通信原理#41320
104年 · #41320
103年 - 103年民航人員三等通信原理#43238
103年 · #43238
97年 - 097年民航調查通信原理#49048
97年 · #49048