所屬科目:民航◆通信原理
(二)若以取樣頻率=400Hz對x(t)進行取樣,請繪製其取樣後信號之頻譜圖。 (10分)
(三)請求出經過通頻帶(Passband)增益為,截止頻率(Cutoff fs Frequency)為600Hz之理想低通濾波器後,再重建之時域信號。 (10分)
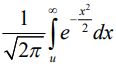
(二)請求出平均符元錯誤率以Q函數表示(Q(u)=) 。(10分)
(三)若提升傳送符元s1之機率為,其餘符元傳送機率均為,請說明使用最大概似偵測法是否還適合。(5分)