題組內容
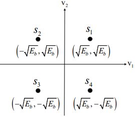
三、下圖為四相位偏移調變QPSK(QuadraturePhase-ShiftKeying)之信號星座圖(SignalConstellation)。其中
代表每位元平均能量。假設雜訊為零均值,功率頻譜密度為
之白高斯雜訊(WhiteGaussianNoise)。
(三)若提升傳送符元s1之機率為,其餘符元傳送機率均為
,請說明使
用最大概似偵測法是否還適合。(5分)
三、下圖為四相位偏移調變QPSK(QuadraturePhase-ShiftKeying)之信號星座圖(SignalConstellation)。其中
代表每位元平均能量。假設雜訊為零均值,功率頻譜密度為
之白高斯雜訊(WhiteGaussianNoise)。
(三)若提升傳送符元s1之機率為,其餘符元傳送機率均為
,請說明使
用最大概似偵測法是否還適合。(5分)