所屬科目:民航◆通信原理
(一)若 = 500 Hz ,請求以及其頻率響應 。
(二)若 = 250 Hz ,請求以及其頻率響應 。
(三)如果我們希望獲得 =A + B cos(100π - π / 4) ,其中 A、B 為常 數,請問 = 1 / Ts 應該設定為多少 Hz?
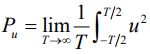
(二)請計算 u(t ) 的功率 (t ) dt 。
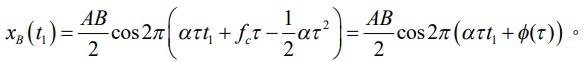
(一)因為 RX 是迴波,因此我們可假設 xrx (t2 ) B cos(u(t1 )) 。假設目標物靜止,也就是圖一中的 f D 0,請驗證圖二中低通濾波器(LPFilter)的輸出為 xB (t1 ) 為(Hint:先計算 A cos(u (t1 )) × B cos(u (t1 -τ )),再將其高頻信號部分濾除,即可得 )
(二)由(一)得知,基頻信號是一單頻率=ατ信號與一隨時而變的 相位 φ (τ ) 所組成,FMCW 雷達的基頻信號又稱為拍頻(Beat Frequency)。我們可以用拍頻 的頻率=ατ計算出目標物與雷達源之間的相對距離。假設 = 77 GHz,B = 4 GHz,而 T = 40 μs,今有一雷達迴波測得其τ = 2 μs,請問該目標物距離雷達源的 距離為何?
(Hint:雷達波以光速( c = 3 × 108 m/s )傳遞,而τ = 2 R / c ,其中 R 為 目標物與雷達源之間的相對距離)
(三)由(二),假設 = 77 GHz,B = 4 GHz,而 T = 40 μs 則此三角波 FMCW 雷達最小可測之距離(或稱為距離解析度)為何?