題組內容
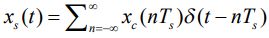
一、取樣(Sampling)是將連續時間信號傳換為離散時間信號的一種過程。假設取樣週期為Ts,一連續時間信號xc(t)經過一理想的連續/離散轉換器(IdealC/D)取樣,如下圖所示,可得離散時間信號
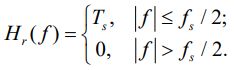
,其中δ(t)為脈衝函數(Impulse Function)。將取樣後的離散時間信號xs(t)經過一低通重建濾波器(Low-PassReconstructionFilter)
,可得一連續信號xr(t)。
假設
=2cos(100π-π/4)+cos(300πt+π/3),-∞<t<∞,而低通重建濾波器hr(t)的頻率響應(Frequencyresponse)為
=2cos(100π-π/4)+cos(300πt+π/3),-∞<t<∞,而低通重建濾波器hr(t)的頻率響應(Frequencyresponse)為
(一)若
= 500 Hz ,請求
以及其頻率響應
。