所屬科目:四技二專統測◆數學S
1. 已知A(3,1)、B(9,9)為坐標平面上二點,且C為線段之中點,則線段的長= ? (A) 2 (B) 3 (C) 4 (D) 5
2. 已知cscθ=3且cos2θ=1-2sin²θ,則cos2θ = ? (A)(B)(C)(D)
3. 已知-1≤sinθ≤1,則之最大值為何? (A) 1 (B) 2 (C) 3 (D) 4
4. 已知正弦函數 f(x) = sin x 之週期為2π,則g(x) = 4sin2x+3的週期為何? (A) π (B) 2π (C) 3π (D) 4π
5. 設a為常數,f(x) = 2x² + ax+5,若f(−2) = f(1),則a= ? (A) -2 (B) -1 (C) 1 (D) 2
6. 已知=(6,-8)、=(-3,y)為平面上兩向量,且平行,則的長度=? (A) 5 (B) 10 (C) 15 (D) 20
7. 已知數線上兩點A(4x), B(6x),若B點在A點的右邊,且線段長為 3,則點A坐標為何? (A) -9 (B) -6 (C) 6 (D) 9
8. 下列何者為60°之同界角? (A)(B)(C)(D)
9. 已知△ABC中,∠C 為直角,且=7、 = 24。則sin A = ? (A)(B)(C)(D)
10. 已知α,β為直角三角形△ABC 之兩銳角,且cosα = ,則tanβ = ? (A)(B)(C)(D)
11. 已知sin²θ+cos²θ=1且sin(90°-θ)=cosθ,則(sin 23°-sin 67°)² + ( sin 23° + sin 67°)² = ? (A) 1 (B) 2 (C) 3 (D) 4
12. 設f(x)+g(x) = 5x³ +5x² +x+1且f(x)-g(x) = x³ +3x²+x+3,則g(x)的x²項之係數為何? (A) -1 (B) 0 (C) 1 (D) 2
13. 設x²-5x+6為x³-3x²+bx+12的因式,則b = ? (A) -6 (B) -5 (C) -4 (D) -3
14. 設方程式x²-4x-k=0有相等兩實根,則k = ? (A) -4 (B) -2 (C) 2 (D) 4
15. 設ax³ +bx² + cx + d = 2(x−1)³ + 3(x−1)² +4(x-1)+5,則a+b+c+ d = ? (A) 3 (B) 4 (C) 5 (D) 12
16. 已知A(−1,1)、B(5,-2)、C(1,3)為坐標平面上三點,則兩向量內積 = ? (A) 6 (B) 7 (C) 8 (D) 9
17. 在△ABC中,向量 = (√3,1)、向量=(0,2),則△ABC之周長為何? (A) 4+√2 (B) 6 (C) 4+2√2 (D) 4+2√3
18. 已知 O為平面坐標之原點,A點坐標為(1,2),且向量 =(−3,2)。若,則D點坐標為何? (A) (2,5) (B)(C) (0,1) (D) (-1, 6)
19. 已知圓方程式(x−1)(x-3)+(y-2)(y-4)=0,則此圓之圓心坐標為何? (A) (1,2) (B) (2, 2) (C) (1,3) (D) (2,3)
20. 已知平面上一直線過點P(1,2),且通過圓C:x² + y² −4x−2y+1=0之圓心,則此直線方程式為何? (A) 2x+y-4 = 0 (B) 2x - y = 0 (C) x−y+1=0 (D) x+y-3=0
21. 已知直線L: y = ax+b通過第一象限且a<0,則下列何者正確? (A)L通過第三象限 (B) L之y截距為負 (C) L之x截距為負 (D) L 通過第四象限
22. 已知直線L 通過A(2011,5)、B(2011,20)兩點,則此直線方程式為何? (A) y = 5 (B) x = 2011 (C) y = 20 (D) 5x+20y = 2011
23. 已知平面上直線L通過點(0,1),且與直線2x+4y=5垂直,則L之方程式為何? (A) x + 2y = 2 (B) 2x - y = -1 (C) x-2y = -2 (D) 2x + y = 1
24. 平面上兩平行線L₁:12x+5y=6及L₂:12x+5y=-7之距離為何? (A) 1 (B) 2 (C) 3 (D) 4
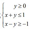
25. 已知x、y滿足聯立不等式, 則f(x, y) = x+2y的最小值為何? (A) -3 (B) -2 (C) -1 (D) 0