所屬科目:教甄◆物理科專業
6. 如右圖為氫原子的部份原子能階示意圖,λ1、λ2、λ3為電子在各能階間躍遷時發射的光子 波長,則三者間的關係滿足下列何者? (A) λ1 + λ2 = λ3 (B) λ1 λ2 = λ2 λ3 + λ1 λ3 (C) λ2 λ3 = λ1 λ2 + λ1 λ3 (D) λ1 λ3 = λ1 λ2 + λ2 λ3
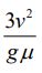
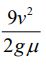
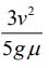
8. 兩木塊 A、B 與一滑車靜置於光滑水平地面上,已知兩木塊與滑車之間 的動摩擦係數為µ,且木塊質量皆為 m,滑車質量為 3m,今 A 以 2v,B 以 v 的初速在滑車上相向滑行,欲使兩木塊不碰撞,滑車總長度至少為何?(不計木塊體積)(A) (B) (C) (D)
9. 一雙星系統由兩個質量相等(皆為 m)的星球繞著共同的質心轉動而構成,兩星球相距為λ,且彼此間沒有其 它物質存在。設軌道為正圓形,此系統的週期為T0 ,但科學家在觀測時發現其週期與T0 有差距,今假設宇 宙中均勻分布著神秘的暗物質,在雙星系統內分布的暗物質造成的額外吸引力使得觀測的週期T =10T0 /11, 則系統內的暗物質質量為何?(設兩星球間暗物質的分布為均勻球形) (A) (B) (C) (D)
10. 如圖,在均勻電場中,有兩個靜止的小球 A、B 被放置在與電場平行的一直線上, 兩球質量均為 m,A 帶正電 Q,B 不帶電。開始時兩球相距 L,在電場作用下,A 球將加速與 B 做正向彈性碰撞,設每次碰撞中,兩球間無電量轉移,且不計重力。 試求 A、B 兩球相鄰兩次碰撞的時間間隔 T 為何?(A)無固定時間間隔 (B) (C) (D)
12. 用波長為λ A的 X 射線照射石墨,在與原入射方向夾θ A角的方向上,可測得強度峰值波長為λA+∆λA 的散射波,若改用λB 的 X 射線入射,在θB方向上可測得強度峰值波長為 λ B+∆λ B 的散射波。則∆λA/ ∆ λB為 (A) (B) (C) (D)1
15. 以下敍述何者正確? (A)質子電量e,在均勻磁場 B 中作半徑為r 的等速率圓周運動,卜朗克常數為h,則質子的物質波波長為 (B)康卜吞效應的實驗中,在60°散射角處測得兩散射強度峰值,波長比為 1:1.01,則入射光子動量為0.2m0c (其中m0 為電子的靜止質量,c 為光速)
(C)在 PN 二極體中,P 型半導體內靠近接面的空乏區帶正電荷 (D)已知將氦原子中兩個電子全部移去需作功 79eV ,則移去第一個電子需作功約 24.6eV (E)氫原子基態的電子動量為1.2×10-5 eV⋅ s/m
3. 如下圖,滑輪與甲物體質量均為 2 kg,乙物體質量為 4 kg。今施一鉛直向上拉力 F 使滑輪加 速上升。若不計摩擦力與繩重,滑輪的轉動也不考慮。欲使乙物不離地,則 F 之最大值為若 干牛頓?(4 分) (g = 10 m/s2)
4. 參考下圖,今有一長方形盒狀容器,側壁為絕緣材質,上下兩面為金屬板,面積皆為 A,盒高,兩金屬板間連接電位差 V。設在t = 0時,盒內均勻佈有每單位體積N 個帶電的灰塵顆粒,每個顆粒質量皆為 m,並帶有電量 q,若不計灰塵顆粒之間的作用力與空氣阻力,且假設灰塵被金屬板吸附後即靜止,則經過多久時間,容器內的灰塵總動能最大?