所屬科目:教甄◆物理科專業
1.如圖所示,一擺球的質量為m,擺長為L,另 一小球的質量為2m,並把它靜置於高為L的高 躉上,然後把擺球拉至水平位置再釋放,當擺球通過最低點時恰好與高臺上的小球發生碰撞,擺球碰撞後反彈上升鉛直高度為1/4,那麼小球落地時的水平位移為何? (A) (B)L (C) (D) (E)
2.由靜止作等加速度運動前進的物體,前進距離需費t時間,則前進2x距離時的速度為: (A)(B) (C) (D) (E)
3.一顆砲彈原為靜止,若突然爆裂為三碎塊,已 知三碎塊之速率比v1 : v2 : v3=:1 : 2 : 3,如下圖,則此三碎塊之質量m1 : m2 : m3之比為?(A)24 : 9 : 10 (B)4 : 9 : 3 (C)25 : 12 : 9 (D)6 : 3 : 2 (E)5 : 1 : 2
4.一質量m,帶電量q之小球’以速度v0向右滾 動入一半徑為R之半圖形軌道,且空間中有水平磁場,如下圖所示。當小球滾到A位置,小球開始脫離半圓形軌道。設重力場g,不計任何阻力,求速度v0之大小為何? (A)(B) (C) (D) (E)
5.—物體以初動能3K沿一固定粗縫斜面上滑, 滑行一段距離後折返下滑,滑回原處時的動能為2K,若物體改以初動能5K沿同一斜面上滑, 滑回原處時的動能為多少? (A)4K (B)k (C)3K (D)K (E)2K
6.如右圖所示,質量M之均勻方形盒,靜置於光 滑的水平面上,自其頂部的中央A點,以細繩懸吊一質量m = M/2的質點,開始時質點靜止於B點,繩與錯直線夾角β為37°,釋放使其 擺動。設重力加速度為g。m質點擺到最低點時,地面向上之正向力為何? (A) mg (B)mg (C) 3mg (D)mg (E)mg
7.質量分別為m、M的A、B兩木塊上下堆疊, 由光滑斜面的頂端自由滑下,如圖所示,A、B 兩木塊無相對滑動,則木塊A對木塊B的作用力量值為 (A) Mgcosα (B) Mgsinα (C) mgsinα (D) mgcosα (E) (M+m)sinα
8.如圖所示,一長度為1公尺、質量為10公斤的長 方形木板B放在水平地面上(動摩擦係數μ=0.5 ), 在其右端放一質量為5公斤之小木塊A (小木塊寬度遠小於木板長度),小木塊A與長方形木板B間之動摩擦係數與靜摩擦係數均為μ=0.5,重力加速度g=10 m/s2 。現在長方形木板B右端施一定力 F=6S0牛頓,使長方形木板B向右作等加速運動, 當小木塊A恰脫離長方形木板B時,小木塊A之速度大小為?m/s (A) 0.4 (B) 0.5 (C) 1.0 (D) 1.5 (E) 2.0。
9.如圖所示,一球自斜面底以若干之初速v0,沿斜面上滑到B點時做斜拋運勒,落下後洽達另一側斜面底C點(設斜面高為h = 40 m , g = 10 m/s2) ,則球由B至C所花時間t為何? (A)1 (B)2 (C)3 (D)4 (E)5。
10.彈簧振子A的質量為2m,彈簧的彈力常數為 k,在振子上面放置一個質量為m的木塊B, 如圖,使木塊與振子一起在光滑水平面上作簡諧運動,振子與木塊間的靜摩擦係數為μ,重力加速度為g,為了使振子與木塊間不發生滑動,則振幅的最大值為若干? (A)(B) (C) (D) (E)
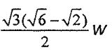
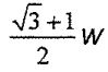
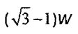
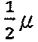
11.如圖為半徑相同,重量相同均為W的A、B兩金屬球,置於均無摩擦力的面上、求兩球間互相作用力 為若干? (A)(B) (C) (D) (E)W
12.完全相同的直角三角形木塊A、B,如圖所示盤放,設A、B接觸的斜面光滑,A與桌面的 動摩擦因數為μ現在B上作用一水平推力F ,恰好使A、B—起在桌面上等速運動,且A、 B保持相對靜止,則tanθ= ?(A)(B)3μ (C) (D) (E) 2μ
⑴tanθ=?