阿摩線上測驗
登入
首頁
>
電磁學
> 101年 - 101年外交領事人員及外交行政人員、101年國際經濟商務人員、101年法務部調查人員、101年國家安全局國家安全情報人員、101年民航人員、101年經濟部專利商標審查人員、101年軍法官考專利商標二等_電信工程#34206
101年 - 101年外交領事人員及外交行政人員、101年國際經濟商務人員、101年法務部調查人員、101年國家安全局國家安全情報人員、101年民航人員、101年經濟部專利商標審查人員、101年軍法官考專利商標二等_電信工程#34206
科目:
電磁學 |
年份:
101年 |
選擇題數:
0 |
申論題數:
10
試卷資訊
所屬科目:
電磁學
選擇題 (0)
申論題 (10)
一、那一方程式和馬克思威爾(Maxwell)方程式結合形成古典電動力學的基石?試解釋 之。(10 分)
二、考慮直角座標系中一邊長為 a 的立方盒,盒之一角落於座標原點,其相鄰三緣分別 緊貼 xyz 三軸;盒之一面 z = a 維持電位勢分布 V(x, y),其餘五面的電位勢皆維持為 零。求盒內電位勢分布。(10 分)
⑴就電磁波工程的角度,何謂良好導體?試以電磁波頻率和導體材料參數定義之。 (5 分)
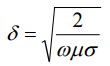
【已刪除】⑵試解釋電磁波於此導體的趨膚深度(skin depth)的意義。試推證其為
其中 ω 為電磁波頻率。(10 分)
⑶試求此導體之表面阻抗(surface impedance)。(5 分)
⑴試證此波導管無 TEM 模式(mode)。(10 分)
⑵試證此波導管的所有傳播模式(propagation modes)具有相同的相速與群速乘積, 此乘積為光速的平方。(10 分)
⑶若此波導管截面為長寬各為 a 和 b 之矩形(a > b)。求最低截止頻率(cutoff frequency)傳播模式之截止頻率及電磁場。請自行選取適當座標系統以表示此模 式之電磁場。(15 分)
五、共振腔之品質因子(Q factor)的定義為何?品質因子和共振腔特徵模有關嗎?如何 由電磁波共振頻譜決定品質因子?(15 分)
六、考慮一侷限於有限範圍輻射源(localized radiation source)所產生之電磁場。試解釋 距輻射源夠遠處,隨距離越遠,電能量密度和磁能量密度的比值漸近於一;然而近 輻射源處,此比值不必然接近一。(10 分)
相關試卷
115年 - 115 身心障礙特種考試_三等_電子工程:電磁學#138984
115年 · #138984
114年 - 114 地方政府公務特種考試_三等_電子工程、電信工程:電磁學#134740
114年 · #134740
114年 - 114 公務升官等考試_薦任_電子工程、電信工程:電磁學#133233
114年 · #133233
114年 - 114 高等考試_三級_電子工程、電信工程:電磁學#128778
114年 · #128778
113年 - 113 地方政府公務特種考試_三等_電子工程:電磁學#124547
113年 · #124547
113年 - 113 高等考試_三級_電子工程、電信工程:電磁學#121507
113年 · #121507
112年 - 112 地方政府特種考試_三等_電子工程:電磁學#118373
112年 · #118373
112年 - 112 公務升官等考試_薦任_電子工程、電信工程:電磁學#117309
112年 · #117309
112年 - 112 高等考試_三級_電子工程、電信工程:電磁學#115766
112年 · #115766
111年 - 111 地方政府特種考試_三等_電子工程:電磁學#112356
111年 · #112356