所屬科目:教甄◆物理科專業
1.自地面上以θ仰角斜抛一物,其在最大高度時之速率與達 最大高度時之速率比為 ,則tanθ=? (A) (B) (C) (D)3。
3.如圖所示,一單擺長度為a,懸於一平台的下面O點處,令擺錘由A點 以v射出,當擺錘沿著圓弧經B、C而到達D點,且, , 則擺錘的初速度v至少為 (A) (B) (C) (D) 。
4.右圖中甲、乙、丙、丁四個電阻器的電阻分別為 1 歐姆、2 歐姆、3 歐姆、4 歐姆,則哪一個電阻器發熱功率最大? (A)甲 (B)乙 (C)丙 (D)丁。
6.兩同相之喇叭相隔 5 米,發出頻率 800Hz 之聲波,今有一人,於喇叭正前方15 米處,朝喇叭走去,前進了 10 米,如圖,設當時空氣中的聲速為 340m/s, 前進方向與喇叭連線垂直,在此移動中,共可發現聲音變小幾次? (A)3 次 (B)4 次 (C)5 次 (D)6 次。
8.一電容 C1 = 6μF 的電容器與一電容為C 2 = 4μF 的電容器串聯,在兩個串聯電容的兩端施加 200V 的電 壓,則 (A)此迴路的等效電容為2.4μF (B)電容C1的電荷大小為 (C)電容C1兩端的電位差為80V (D)電容C2的電荷大小為 (E)電容C2兩端的電位差為120V 。
1.均勻木板 AB 長 1.6m,其質量為 2kg,可繞轉軸 O 轉動,轉軸 O 距地面高度 0.6m, 木板 AO 部分長 1m,有一質量為 1kg 的物體,以初速 v 由木板的 A 端沿木板向上滑, 如圖所示,此物與木板間的動摩擦係數為 0.5,若物滑過 O 到某處,木板將開始繞轉 軸 O 翻轉,欲達此種效果 v 至少須為_________ m/s 。
2.如圖,在平行板電場中,有一個質量為 m,帶有負電量為 q 的小球,用長為 L 的 細繩懸掛,將小球拉至水平位置,由靜止釋放,則小球向下擺至 53°角到達 B 時 速度恰為零,在此過程中,小球之最大速度為__________________。
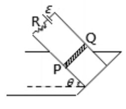
3.如圖,空間有一鉛直向上的均勻磁場‧,質量0.4公斤的導線PQ橫跨相距0.5m 的平行金屬軌道,軌道傾斜角θ=37°,電阻R=0.8Ω,電池ε=4 伏特,除電阻R其餘皆無 電阻,軌道亦無摩擦,PQ導線由靜止下滑,其最大速率為___________ 。
4.如圖,質量 m 的物體在光滑的平面上以 的速度沿半徑為 R 的光滑半圓形軌 道上升,則此物脫離軌道又落回地面,落地點與圓心 O 點的水平距離為 _________________。
5.水流經截面積為 8cm2 之水管時,流速為 4m/s,今使水管流至截面積為 4cm2 而高度升高 10 公尺之較細水管中, 若粗管中之水壓為 ,則在細管中之水壓為______________ 。
10.有一個封閉的容器,其中有一固定的隔牆將此容器分割 成兩部分,此兩部分體積分別為 2V 及 V,且裝有相同 的氣體,壓力和溫度分別為 3P,2T 及 P,T,現將中間的 隔牆打開一小洞,則氣體會產生流動,在達到熱平衡時, 氣體的溫度為_________。