所屬科目:教甄◆物理科專業
1. 一質量為 2.0 仟克 的物體沿斜面下滑。當斜面與水平的斜角為 45 度時,物體以 作等速度運動 (g 為重力加速度),此時下列敘述何者正確? (A) 物體的總力學能一直在改變 (B) 物體的總力學能保持不變 (C) 物體受到的摩擦力為 9.8 牛頓 (D) 物體與斜面的摩擦係數為
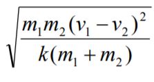
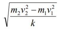
2. 如右圖所示,一質量為 m1 的方塊在無摩擦力的桌面以速度 1 v 向 右滑行,其前方有另一質量為 m2 (> m1 )的方塊也正以速度 v2 (<v1 ) 向右滑行。若有一可忽略質量且彈性係數為 k 的彈簧 連接在 m2 的左端,試問當碰撞發生時,彈簧最大的壓縮量為 何? (A) (B) (C) (D)
3. 一受持續推力作用的物體在動摩擦係數 1/3 的地球表面水平運動的加速度為 g (g 為 地球表面的重力加速度,若將此物體搬到動摩擦係數同為 1/3 的月球表面,施以相同 的推力,則其水平運動的加速度為何? (A) g (B) g (C) g (D) g
4. 如右圖所示的單擺,其擺錘重量為 W,以不可伸縮的質輕細 繩懸吊後,在一鉛直平面來回擺動,其擺角 θ 最大可達 θ 0 。 若懸吊點的摩擦力與空氣對擺錘的作用力均可忽略,則下列 關於此單擺運動的敘述,何者不正確? (A) 當θ = 0 時 , 擺 錘 對 繩 線 的 拉 力 為 最 大 (B) 擺 錘 的 擺 動 恆 為 簡 諧 運 動 , 與 θ 0 的 大 小 無 關 (C) 當 |θ | 變 小 時 , 繩 線 對 擺 錘 的 拉 力 會 變 大 (D) 當 |θ |=θ 0 時 , 擺 錘 對 繩 線 的 拉 力 為 W cosθ0
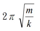
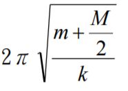
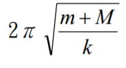
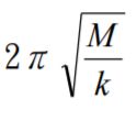
5. 如 右 圖 所 示 , 一 質 量 m 的 物 體 藉 由 一 細 繩 連 接 至 一 彈 簧 ( 彈 性 係 數 k),途 中 經 過 一 滑 輪( 滑 輪 質 量 M,半 徑 R , 轉動慣量 I = MR2 /2) 。 假 設 系 統 從 靜 止 出 發 , 出發時彈簧 呈 未 伸 長 狀 態 , 且 滑 輪 轉 動 時 的 能 量 損 耗 可忽略 。 若 系 統 後 來 呈 現 一 簡 諧 運 動 , 試 問 其 運 動 週 期 為 何 ? (A) (B) (C) (D)
6. 承上題,試問簡諧運動過程中 m 的平衡位置位於起始位置下方何處? (A) (B) (C) (D)
7. 下列有關氣體能量等配原理及等積比熱的陳述何者不正確 (k 為波茲曼常數)? (A) 根據能量等配原理,每一氣體分子的每一自由度,含有 kT/2 能量 (B) 根據能量等配原理,在任何溫度下每一單原子氣體分子的等積比熱是 3k/2 (C) 若將氣體置於一三維均向簡諧位能井 ,則在任何溫度下每一單原子 氣體分子的等積比熱是 5k/2 (D) 雙原子氣體分子的轉動與其等積比熱值有關
10. 如右圖所示為一由兩個波幅相同,波長同為λ,頻率皆為 f 的正弦波在同一條弦上以相反方向前進所形成的駐波,假 設在時間 t 時,點 A 到達其最高可達到的點,試問再經過 多少時間,點 A 會到達其最低點? (A) (B) (C) (D)
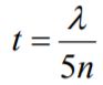
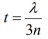
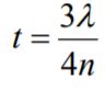
11. 一光波長為 λ,以垂直肥皂泡膜方向入射,皂膜折射率為 n,下列何厚度 t 可因破壞性干 涉使透過皂膜光為最弱? (A)(B) (C) (D)
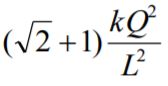
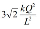
12. 邊長為 L 的正方形四頂點處各置放一電量為 Q 的點電荷,任一電荷所受的淨電力量值為 何?(A) (B) (C) (D) +
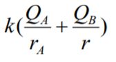
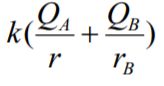
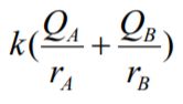
13. 有半徑分別為 rA 與 rB 的 A 與 B 兩帶電金屬球殻(rA< rB),帶電量分別為 QA 與 QB,則距 球心 r 處的電位(rA< r < rB)為何? (A)(B) (C) (D)
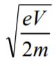
16. 有一帶電平行板,兩電極板間的電位差為 V,若電子由低電位電極板釋放,到達另一電 極板時之末速為何?電子質量為 m,電子電量為 e。 (A) (B) (C)(D)
17. 有一電子垂直磁場方向入射均勻磁場 B 中作等速圓周運動,若電子之軌道半徑為 r,電 子質量為 m,電子電量為 e,h 為普朗克常數,此粒子之物質波波長為何? (A) (B)(C) (D)
1. 如右圖所示系統處於靜止平衡狀態,方塊 A 的質量為 10kg,而方塊 B 的質量為 5kg。假設只要方塊 B 的質量比現在 5kg 稍重一些,方塊 A 將 開始滑動。若 角為 30 度,則方塊 A 與接觸表面的靜摩擦係數為__________ ;另兩黑點間繩子的張力為_________ N。(重力加速度為 9.8 m/s 2 )