所屬科目:教甄◆物理科專業
1. 如圖所示,一質量爲m、邊長為L的正方體,靜止於粗糙地面。今施一力F =mg於正方體左側的中點M,點A位於正方體左側最下緣。已知正方體與地面間靜摩擦係數為0.8、動摩擦係數為0.3,則地面給正方體的正向力,其作用點距離點A多遠? (A) 0.9L (B) 0.8L (C) 0.5L (D) 0.3L (E) 0.2L。
2. 甲、乙兩物體分別受定力F₁、F₂作用而做直線運動,其動量與時間t的關係如圖所示,則在t秒內,甲、乙兩物體所受定力量值F₁、F₂與衝量量值J₁、J₂之關係為何? (A) F₁ = F₂, J₁>J₂ (B) F₁<F₂, J₁ = J₂ (C) F₁> F₂, J₁ <J₂ (D) F₁ <F₂, J₁<J₂ (E) F₁> F₂, J₁ > J₂
3. 某一折射率為的透明液中,有一折射率為1.8的三稜鏡(如圖所示)。則光線由垂直射入至第一次射出稜鏡時,其偏向角約為多少度? (A) 30° (B) 37° (C) 45° (D) 53° (E) 60°。
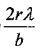
4. 如右圖所示,波長為λ的點光源S與平面鏡距離為b,又S與屏幕間距離為√2b,試求幕上的干涉條紋寬度為何? (A) (B) (C) (D) (E)
5. 如圖所示,甲、乙兩個為相同的方形線圈(長L,寬3L),擺置方式不同,今各施一外力使兩者以相同水平速度分別進入垂直射出紙面的均勻磁場B中,線圈的邊長如圖所示之尺寸,則在線圈部分進入磁場至完全進入磁場期間,下列有關甲、乙物理量的敘述何者正確? (A) 維持線圈等速運動的外力 甲<乙 (B) 維持線圈等速運動的外力 (C) 產生的電功率甲>乙 (D) 產生的總電熱能甲>乙 (E) 產生的總電熱能甲=乙。
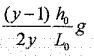
6. 如圖(a),水平置放的粗細均勻的玻璃管內含有Lo公分的水銀柱,在大氣壓力為ho公分-水銀汞柱時,封閉兩端使左右兩氣室體積相等。若玻璃管作水平等加速度直線運動,使右室氣體體積為左室的y倍(v>1),如圖(b),則玻璃管的加速度為何?(g為重力加速度) (A) (B)(C)(D) (E)
(1) 在C點的速率為?_____
(2) 在A點的面積速率為?_____
(3) 在B點切線加速度大小為?_____
(4) 在C點的向心加速度大小為?_____
(5) 若衛星運轉至點A時,要使軌道變為半徑3r的圓軌道,則需提供衛星的能量為?_____
(6) 若要使該金屬A放出光電子,則照射光的波長須短於_____埃
(7) 若以波長為12400埃的光照射時,兩個光子_____擊出一個光電子【填能或不能】
(8) 以波長為4000埃的光照射時,電子的最大動能為_____電子伏特
(9) 承上,調整V之電壓,當安培計Ⓐ的電流為0時,截止電壓V的值為_____伏特
(10) 承上,同以波長為4000埃的光照射,而強度加倍時,則截止電壓V為_____伏特。
(11) 鋼珠由A滑至B所需時間?
(12) 鋼珠受空心圓柱壁之正向力大小?
(13) 在軌道上滑行期間,鋼珠所受摩擦力大小?
(14) 摩擦力所消耗的能量?
(15) 碰撞後,甲的末速x為若干m/s?
(16) 甲與乙之質量比為若干?
(17) 此電荷之電性為何?
(18) 垂直於z軸的速度分量大小為若干?
(19) 在0≤z≤區域,磁力作功為若干?
(20) 在z<0 區域時,總動能為若干?