阿摩線上測驗
登入
首頁
>
通訊系統
> 102年 - 102年專門職業及技術人員高等建築師、技師、第二次食品技師暨普通不動產經紀人、記帳士考高等_電子工程技師#26097
102年 - 102年專門職業及技術人員高等建築師、技師、第二次食品技師暨普通不動產經紀人、記帳士考高等_電子工程技師#26097
科目:
通訊系統 |
年份:
102年 |
選擇題數:
0 |
申論題數:
16
試卷資訊
所屬科目:
通訊系統
選擇題 (0)
申論題 (16)
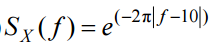
⑴請定義 X(t)與S
( f )
X 之關係?此函數之主要特性為何?(3 分) 又依據 PSD 函數特性判斷下列之函數是否符合 PSD 的特性,請說明判斷依據:
【已刪除】⑵
(3 分)
【已刪除】⑶
(3 分)
【已刪除】⑷
(3 分)
【已刪除】二、二位元通訊系統之傳送信號為si (t),(i =1,2) ,經由雜訊通道所接收之信號其判斷式可 表示為
,其中n
0
為均勻分布之雜訊,其判斷 結果之條件機率如下:
假設 s
1
及 s
2
的傳送機率均等,且為最佳化判斷,請問此系統之位元錯誤機率為何? (20 分)
⑴請求出訊息信號 m(t)與載波訊號 c(t)分別為何?(4 分)
⑵請問調變因數(modulation factor)為何?(4 分)
⑶請問載波(carrier)與旁波帶(sidelope)之功率比值為何?(4 分)
⑴請輔以系統方塊圖說明該如何結合 ARQ 與 CRC 技術來確認資料傳輸是否有錯誤? (8 分)
⑵請說明 Go-Back-N ARQ 及 Selective Repeat ARQ 機制之異同。(8 分)
⑶二進位資料序列 1101011 若以生成多項式為 G(x) = x
4
+x
3
+1 之 CRC 編碼,請問在 輸出端其序列為何才是正確?(8 分)
⑴請說明其原理與優缺點。(8 分)
⑵假設一 OFDM 系統使用 64 個子載波,但只有 48 個子載波放資料,其他為導引信 號或保護頻段,假設子載波的頻率間距為 312.5 kHz,每個資料子載波使用相同的 QPSK 調變與 1/2 的編碼率,且為了克服符際干擾(Inter-symbol Interference, ISI) 使用了 OFDM 資料訊框長度的 1/4 時間當保護區間(Guard Interval, GI),請計 算此 OFDM 系統的資料傳輸率為何?(5 分)
⑶延續⑵,若為了提升資料傳輸率,將調變改為 64QAM,編碼率提升到 3/4,並用了 52 個子載波來傳送資料,且 GI 縮短為 OFDM 資料訊框長度的 1/8,且同時在接 收與發射端各用兩根天線做獨立的收發(不考慮天線間的干擾),請問調整後之 OFDM 系統的資料傳輸率可提升為何?(5 分)
⑴試求離地表 36000 公里之衛星上所需等效發射功率 EIRP(Equivalent Isotropically Radiated Power)為幾瓦?(7 分)
⑵若系統之溫度為 300°K,頻寬為 10 kHz,請計算此系統之 C/N 為多少 dB?(7 分) [波茲曼常數 k = 1.38×10
-23
J/°K = -228.6 dBW/°K/Hz]
相關試卷
114年 - 114 專技高考_電子工程技師:通訊系統#133705
114年 · #133705
114年 - 114 國家安全情報特種考試_三等_電子組(選試英文):通訊系統#127789
114年 · #127789
113年 - 113 專技高考_電子工程技師:通訊系統#123975
113年 · #123975
112年 - 112 專技高考_電子工程技師:通訊系統#117684
112年 · #117684
112年 - 112 國家安全情報特種考試_三等_電子組(選試英文):通訊系統#114831
112年 · #114831
111年 - 111 專技高考_電子工程技師:通訊系統#111978
111年 · #111978
111年 - 111 警察特種考試_三等_交通警察人員電訊組:通訊系統#108624
111年 · #108624
111年 - 111 國家安全情報特種考試_三等_電子組(選試英文):通訊系統#108610
111年 · #108610
110年 - 110 專技高考_電子工程技師:通訊系統#104217
110年 · #104217
110年 - 110 警察特種考試_三等_交通警察人員電訊組:通訊系統#101674
110年 · #101674