所屬科目:通訊系統
(一)假設 x(t ) = e-atu(t) ,其中 u(t) 為單位階梯函數(Unit Step Function) 。請求 x(t)sin(2πfct) 的傅立葉轉換(Fourier Transform)。(10 分)
(二)如下圖所示, δT0(t) 為一包含無窮長且均勻間隔的脈衝函數(或稱為 Delta 函數),其週期為 T0。請求 δT0(t) 的傅立葉轉換並畫圖。(10 分)
(一)下圖為一 3 階 PAM 系統的調變訊號星座(Signal Constellation)圖。針對接收機所接收的訊號值的大小,根據星座圖,請設計一最佳之估計閥值(Detection Threshold)使該接收機的解調器有最小的平均錯誤機率(Average Probability of Error),並請計算此最佳解調器的平均錯誤機率。
(二)下圖為一特殊之 16-QAM 星座圖,是一種常用於電話線數據機的國際標準(稱為 V.29):假設電話線傳輸系統有足夠高的信噪比(Signal-to-Noise Ratio, SNR),因此錯誤只發生在星座圖的相鄰點之間。根據 V.29 16-QAM 星座圖,請決定並繪製信號解調器之最佳決策邊界( Optimum Decision ,使接收機的解調器有最小的平均錯誤機率。 Boundaries)
(一)
(二)
(三)
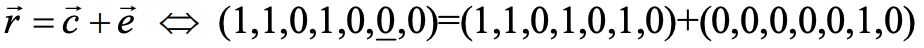
(二)為了方便說明,我們以記為碼字,而以記為錯誤向量。對於所給定的碼字=(1,1,0,1,0,1,0) ,在其上隨意加入一個位元的錯誤,例如=(0,0,0,0,0,1,0)(註:因為有 7 個位置,因此共有 7 種可能),那麼則為所接收的訊息,也就是請證明針對一組碼字 =(1,1,0,1,0,1,0),任何一個位元的錯誤都能被偵測且更正回來。(8 分)
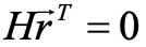
(三)若我們將 3 個 Even-parity Check 方程式以矩陣的形式表示如下:那麼,如果是一個碼字,則。此即為一種(7, 4)線性區塊碼。請證明此(7, 4)線性區塊碼的最小漢明距離(Minimum Hamming Distance)最少為 3。