所屬科目:通訊系統
一、假設 g1 (t ) = ,其中為頻率。 g2 (t ) 為一方波,如下 圖所示:
若 g (t ) = g1 (t ) g 2 (t ) ,請求 g (t ) 的傅立葉轉換(Fourier transform) 。
(一)假設輸入訊號 ,其中 m(t ) 為欲傳送的信息 (message)而 為載波(carrier wave) 。請求該平方律偵測器的輸出訊號 v2 (t ) 。
(二)承(一),假設欲傳送的信息 m(t ) 為一頻寬為 W 的基頻信號,其頻率響應 (frequency response) M ( f ) 如下所示:
假設載波的頻率 > 3W ,根據 M ( f ) ,請描繪出輸出訊號 v2 (t ) 的頻率 響應V2 ( f ) 。
(三)承(二),假設我們想利用以下的調諧電路(tuned circuit)來產生一 AM 信號,如下圖所示:
請設計該協調電路使之能產生一 AM 信號。
(四)承(三),請計算該 AM 信號的振幅靈敏度(amplitude sensitivity)。
三、假設 s (t ) = cos(400π t ) + 0.5cos(12000π t ) ,將 s (t ) 以取樣頻率(sampling frequency) = 10 kHz 進行取樣可得離散時間訊號(discrete-time signal) s[ n],請描繪出 s[ n] 的頻譜(spectrum) 。請問所得的 s[ n] 是否滿足奈奎斯 特取樣定理(Nyquist Sampling Theorem)?
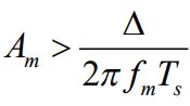
(一)假設原始類比訊號為振幅 、頻率 的弦波 。將 m(t ) 通過一差量調變調變器,該調變器的正負脈衝值為△、取樣時間 (sampling period)為 。請證明如果 ,則該差量調變將出現斜率超負載(slope overload)的問題。
(二)假設我們利用差量調變對一語音信號進行 ADC 的轉換。一般語音為 一有限頻寬(band-limited)信號,其頻寬為 3.4 kHz 。所使用的差量調 變編碼器的規格如下:取樣頻率為該語音信號的 10 倍奈奎斯特頻 率、正負脈衝值 △ = 100 mV(毫伏特) 。假設輸入信號為頻率 = 1 kHz 弦波,若該差量調變的編碼器並不會產生斜率超負載問題的條件下, 請計算該弦波的最大振幅為多少伏特?
(一)請計算該多重路徑通道的傳遞函數(transfer function) H ( f ) 。
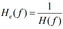
(二)為了解決多重路徑干擾的問題,在接收器中可利用一分接延遲線通道等化器(tapped-delay-line channel equalizer)來降低無線通訊系統傳輸 的錯誤率。如果該通道等化器的轉移函數為,則最佳的等化器 1 設計為。考慮一個三階延遲線通道等化器,如下圖所示:
假設 ,請設計該三階延遲線通道等化器,使之能排除雙路徑無線傳輸通道的干擾。 (註 1:因為通道傳輸會產生時間延遲, 因此一般等化器的設計允許最終系統的轉換函數,也就是 ,為一個廣義線性相位系統(generalized linear-phase 1 system)。註 2:若 k << 1 ,則 ≈1+ kr + k2 r2 )
(一)假設 n = 3 ,利用重複碼來傳送訊息,請說明錯誤的發生情形。
(二)假設 n = 3,請求該重複碼的平均錯誤機率(average probability of error) 。
(三)假設 n = 5 ,請求該重複碼的平均錯誤機率。