阿摩線上測驗
登入
首頁
>
流體力學
> 103年 - 103-2 專技高考_水利工程技師:流體力學#29166
103年 - 103-2 專技高考_水利工程技師:流體力學#29166
科目:
流體力學 |
年份:
103年 |
選擇題數:
0 |
申論題數:
12
試卷資訊
所屬科目:
流體力學
選擇題 (0)
申論題 (12)
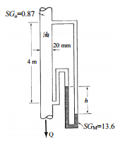
【已刪除】一、一管流壓力量測設置如下圖所示,管內淺色為不可壓縮黏滯性之流體(油),其比 重 SGO = 0.87,運動黏度 v=2.2 ×10
-4
m
2
/s,以流量 Q= 4 ×10
-4
m
3
/s 流經管徑為 20 mm 之垂直圓管。圓管右側壓力計內之深色液體比重 S
GM
= 13.6,測量長度為 4 m。圖 中重力方向向下,試計算壓力計所測得之讀數 h。(25 分)
(1)若欲獲得完全相似性,須滿足那些條件?(5 分)
(2)若水庫原型放水為 10 小時,則模型放水的時間為何?(5 分)
(3)模型中量得溢洪道壩頂的流速為 0.5 m/s,現場中該位置之流速為何?(5 分)
(4)現場流量為 2× 10
3
m
3
/s ,則模型試驗時流量應為何?(10 分)
(一)
ψ
=2r
2
sin2
θ
(二)ψ=U(ycosα-x sin α)=Ursin(
θ
-α),其中0<α<π/2。
【已刪除】(三)ψ=
【已刪除】(四)ψ=
【已刪除】(五)
ψ
=
【已刪除】(1)若流場為穩態,試證明在任意流線上
=常數。(15 分)
【已刪除】(2)若流場為非穩態之無旋流場(irrotational flows),試推導:
,其中
ψ
為速度勢能函數。並證明 F 為一僅與時間相關 之函數,即在特定時間下流場任意處的 F 值均相同。(10 分) 提示:
相關試卷
115年 - 115 身心障礙特種考試_三等_水利工程:流體力學#138962
115年 · #138962
114年 - 114 地方政府公務特種考試_三等_水利工程:流體力學#134777
114年 · #134777
114年 - 114 地方政府公務特種考試_四等_水利工程:流體力學概要#134736
114年 · #134736
114年 - 114 專技高考_水利工程技師:流體力學#133675
114年 · #133675
114年 - 114 公務升官等考試_薦任_水利工程:流體力學#133259
114年 · #133259
114年 - 114 普通考試_水利工程:流體力學概要#128762
114年 · #128762
114年 - 114 高等考試_三級_水利工程:流體力學#128749
114年 · #128749
114年 - 114 身心障礙特種考試_三等_水利工程:流體力學#126638
114年 · #126638
113年 - 113 地方政府公務特種考試_三等_水利工程:流體力學#124528
113年 · #124528
113年 - 113 地方政府公務特種考試_四等_水利工程:流體力學概要#124496
113年 · #124496