阿摩線上測驗
登入
首頁
>
通訊系統
> 104年 - 104年司法人員、104年法務部調查局調查人員、104年國家安全局國家安全情報人員、104年海岸巡防人員、104年移民行政人員考國安三等_電子組(選試英文)#25103
104年 - 104年司法人員、104年法務部調查局調查人員、104年國家安全局國家安全情報人員、104年海岸巡防人員、104年移民行政人員考國安三等_電子組(選試英文)#25103
科目:
通訊系統 |
年份:
104年 |
選擇題數:
0 |
申論題數:
13
試卷資訊
所屬科目:
通訊系統
選擇題 (0)
申論題 (13)
⑴ Z(t)的平均值為何?(6 分)
⑵ Z(t)的自相關(autocorrelation)函數為何?(7 分)
⑶ Z(t)的功率頻譜密度(power spectrum density)為何?(7 分)
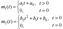
【已刪除】二、假設有兩個資訊信號:
若 (m
1
)t 經 FM 調變後之信號為 (S
1
(t) , m
2
( t) 經 PM 調變後之信號為S
2
(t),試問在何 種條件下能滿足S
1
(t)=S
2
(t) ?(20 分)
⑴試求所需之最小取樣率為何?
⑵請問每一取樣字元需用幾個位元編碼?
⑶請問位元傳輸速率為何?
⑷請問至少需多大的傳輸頻寬才不會造成符際干擾(ISI)?
⑴請畫出 DPSK 發送端與接收端之系統架構方塊圖。(7 分)
⑵請問 DPSK 輸出信號相位序列為何?(7 分)
⑶若傳送過程中,第三個信號相位因雜訊造成判斷錯誤,請問接收端接收到之二位 元資料序列為何?(6 分)
⑴請問若輸入位元為 1 0 1 0,則編碼後的碼字為何?
⑵若收到的碼字為〔0 1 0 1 0 0 0〕,這是否為正確的碼字?試說明之。
相關試卷
114年 - 114 專技高考_電子工程技師:通訊系統#133705
114年 · #133705
114年 - 114 國家安全情報特種考試_三等_電子組(選試英文):通訊系統#127789
114年 · #127789
113年 - 113 專技高考_電子工程技師:通訊系統#123975
113年 · #123975
112年 - 112 專技高考_電子工程技師:通訊系統#117684
112年 · #117684
112年 - 112 國家安全情報特種考試_三等_電子組(選試英文):通訊系統#114831
112年 · #114831
111年 - 111 專技高考_電子工程技師:通訊系統#111978
111年 · #111978
111年 - 111 警察特種考試_三等_交通警察人員電訊組:通訊系統#108624
111年 · #108624
111年 - 111 國家安全情報特種考試_三等_電子組(選試英文):通訊系統#108610
111年 · #108610
110年 - 110 專技高考_電子工程技師:通訊系統#104217
110年 · #104217
110年 - 110 警察特種考試_三等_交通警察人員電訊組:通訊系統#101674
110年 · #101674