阿摩線上測驗
登入
首頁
>
通訊系統
> 104年 - 104年第二次通訊系統#41525
104年 - 104年第二次通訊系統#41525
科目:
通訊系統 |
年份:
104年 |
選擇題數:
0 |
申論題數:
13
試卷資訊
所屬科目:
通訊系統
選擇題 (0)
申論題 (13)
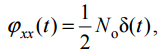
【已刪除】一、有一個隨機程序(random process)x(t),其自相關函數(auto-correlation function)為:
其中 δ(t ) 為單位脈衝函數(unit impulse function)。像這樣的隨機程序也稱為白雜訊 (white noise)。將此白雜訊輸入一個理想的帶通濾波器(ideal band-pass filter), 其頻率響應如下:
其中 f
c
>> B 。請問在此帶通濾波器的輸出端的雜訊功率(noise power)為何? (10 分)
二、有一個基頻訊號(baseband signal)x(t),其頻寬(bandwidth)為 B。我們將它調變 (modulate)為如下訊號:
s (t ) = Ax(t ) cos (2π f
c
t ) 其中 f
c
>> B ,而 A 則為某一常數。請問 s(t)的頻寬為何?(10 分)
⑴ f
G
(g ) 的最大值出現在 g 為什麼值的時候?(5 分)
【已刪除】 ⑵請計算「 G <
」事件(event)的機率(probability)。(10 分)
⑴每傳送一個位元所需耗費的能量(energy)為何?你的答案應該以 E、T 等符號 表示出來(也許跟 E 有關、也許跟 T 有關、也許跟兩者都有關)。(8 分)
⑵ 我 們 假 設 從 傳 送 端 ( transmitter ) 到 接 收 端 ( receiver) , 訊 號 所 經 過 的 通 道 (channel)為加成性高斯白雜訊(additive white Gaussian noise)通道,簡稱 AWGN 通 道 。 請 解 釋 何 謂 AWGN 通 道 。 請 注 意 在 你 的 解 釋 中 應 該 要 對 「additive」、「white」、「Gaussian」等用詞有些許說明。(9 分)
⑶讓我們使用相關器(correlator)來作解調(demodulation),而且要使用個數盡量 少的相關器。請畫出解調器(demodulator)的架構,並且清楚地標示其中的位元 判定準則(decision rule)。(8 分)
五、在數位通訊(digital communication)中作解調(demodulation)時,可分為同調解 調(coherent demodulation)與非同調解調(non-coherent demodulation)兩大類。請 指出兩者在運作上的相異之處。(10 分)
⑴這個線性方塊碼的每一個碼字(code-word)帶有多少個訊息位元(message bits)? (5 分)
⑵請列出所有的碼字(code-words)。(5 分)
⑶此線性方塊碼之最小距離(minimum distance)為何?(5 分)
⑷當我們收到 [ 1 1 1 1 0 0 1 ] 時,應該解碼(decode)為收到了什麼訊息 (message)?(5 分)
【已刪除】七、有一個資訊源(information source),每次傳送的訊息符號(message symbol)為 A、B、C、D、E 五者其中之一,其相對應的傳送機率為:
請計算此資訊源的熵值(entropy,亦即平均資訊量(average information))。請將 熵值的衡量單位以位元(bits)來表示;也就是說,當你作相關的對數計算時,請 以 2 為底。(10 分) <附註> log
2
(3) ≈ 1.585
相關試卷
114年 - 114 專技高考_電子工程技師:通訊系統#133705
114年 · #133705
114年 - 114 國家安全情報特種考試_三等_電子組(選試英文):通訊系統#127789
114年 · #127789
113年 - 113 專技高考_電子工程技師:通訊系統#123975
113年 · #123975
112年 - 112 專技高考_電子工程技師:通訊系統#117684
112年 · #117684
112年 - 112 國家安全情報特種考試_三等_電子組(選試英文):通訊系統#114831
112年 · #114831
111年 - 111 專技高考_電子工程技師:通訊系統#111978
111年 · #111978
111年 - 111 警察特種考試_三等_交通警察人員電訊組:通訊系統#108624
111年 · #108624
111年 - 111 國家安全情報特種考試_三等_電子組(選試英文):通訊系統#108610
111年 · #108610
110年 - 110 專技高考_電子工程技師:通訊系統#104217
110年 · #104217
110年 - 110 警察特種考試_三等_交通警察人員電訊組:通訊系統#101674
110年 · #101674