所屬科目:教甄◆物理科專業
1、理想氣體的莫耳定壓比熱是Cρ,當n莫耳的理想氣體溫度增加∆T時,試求其內能增加多少? (理想氣體常數為R) (3 分)
2、是凡德瓦所推導出來的真實氣體方程式,稱為凡德瓦修正 式。若定義體積模數B是指每一單位體積的氣體,當其體積壓縮dV時,所需增加的 壓力dp,即。在固定溫度的條件下,遵守凡德瓦修正式的氣體其體積 模數B為何?(3 分)
3、已知在一條緊繃的弦上,脈波的波速,其中F為弦之張力,μ為弦之線密 度。下表為音階與頻率關係表。若有一條弦總長為 45 公分、質量為 2.25 公克、 張力為 800 牛頓。請問這條弦所發出的基音最接近哪個音階?(3 分)
5、物體S位置如右下圖所示,左方為平面鏡M,觀察者位於 P處,看向折射率 1.5,厚度d的玻璃磚,所見S之兩個 像,位置座標分別為何?(3 分)
6、Fabry െ Perot干涉儀裝置如左下圖所示,發散點光源的光波波長為λ,兩平行板相 距d,且其內側可以部份透射和部分反射光線,因此當光由S點出發後,會在兩平行 板間發生多次反射與透射,如左下圖所示。這些光線經過焦距為f的透鏡聚光之後, 屏幕上會產生圓形的干涉條紋,如右下圖所示。 當入射光與光軸的夾角為θm時,在屏幕上的光點恰好為亮點。寫出同一圓上亮點 的干涉條件為何? (用d、θm、λ表示) (3 分)
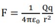
7、已知一半徑d、體電荷密度為ρ的實心均勻球體。試求球心與球表面間的電位差為 何?(庫侖定律可寫作,答案請用ε0、d與ρ表示) (3 分)
8、在右圖中,所有的電阻器之電阻均為 4.0Ω,而所有理想電池的電動勢均為 4.0V。試求通過電阻器R的電流為何? (3 分)
9、如右圖所示,今有電量為q、質量為m的質點,經過座標原點 時有初速v0,此瞬間它與x、y、z座標軸的夾角分別為α、β與 θ。空間中存在往-z方向的均勻磁場B與電場E,若此質點能 回到原點,則v0量值的條件為何?(3 分)
10、如右圖所示,在強度為B的均勻磁場中(方向 向內垂直於紙面),放置一固定的長方形均勻 導線框,框面和磁場方向垂直。導線框全長 的電阻為R,短邊的長度為a。今在導線框上 放置一長度為L(L>α)的細銅棒,以外力拉動 銅棒,使其以等速度v向右運動。假設銅棒本身以及銅棒和導線框接觸點的電阻都 很小,可以忽略,當銅棒剛好經過導線框的中間位置時,流經銅棒的電流為何? (3 分)
11、如右圖所示,在真空中將大小相等之兩平板金屬片甲與乙平行排列, 金屬片的大小遠大於兩者間的距離。今用低光強度、頻率ν之光照射乙 金屬片的左側,以進行光電效應實驗。設兩金屬片在光照射前均為電中 性,其功函數分別為W甲與W乙,均小於hν。光的反射可不計,h為普朗 克常數,電子的電量為-e,e>0。光照射乙的左側,則當甲與乙電位 差量值達最大時,求V甲-V乙為何?(4 分)
12、依據波耳的氫原子模型,已知某氫原子處於第一激發態(n=2)時,其電子的旋轉 週期為T,且普朗克常數為h,則該電子於軌道上的動能為何? (電子的電量為答案請用h、T、e表示) (4 分)
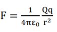
14、考慮一個半徑為R的球形水滴,自由地懸浮在空中。假設水滴可以導電,並帶有電量Q,水在室溫時的表面張力為T。本題中忽略重力與空氣浮力的影響。考慮一個帶 電水滴的位能等於靜電位能加上表面張力所形成的表面能,即,試求 出常數(a,b)。(庫侖定律可寫作,答案請用ε0與T表示) (4 分)
15、起始動能為7.7MeV的α粒子()從遠處趨近一個金原子核( ),其後α粒子的 偏轉如下圖所示。假定整個過程中金原子核維持靜止。當α粒子在距金原子核遠的 P 點時,估算它的動能為多少MeV?(已知庫侖常數 、電子電量[保留兩位有效數字] (4 分)