阿摩線上測驗
登入
首頁
>
工程力學(含靜力學、動力學與材料力學)
> 105年 - 105 身心障礙特種考試_三等_機械工程:工程力學(包括靜力學、動力學與材料力學)#50150
105年 - 105 身心障礙特種考試_三等_機械工程:工程力學(包括靜力學、動力學與材料力學)#50150
科目:
工程力學(含靜力學、動力學與材料力學) |
年份:
105年 |
選擇題數:
0 |
申論題數:
9
試卷資訊
所屬科目:
工程力學(含靜力學、動力學與材料力學)
選擇題 (0)
申論題 (9)
【已刪除】一、如圖一所示結構為四根長度相同不計質量之桿件 AE, BD, DH, EG 所組成,C 與 F 為 各連接桿件之中點,且有一根不計質量之彈簧支撐於其間,各連接點均為拼接 (pinned) ,今於 G 與 H 兩點各施加一垂直力 P,試求彈簧之支撐力為何結構才能平 衡?(25 分)
⑴物體掉落過程中最大速率為何?(10 分)
⑵繩索最大伸長量為何?(10 分)
⑶若定義繩索最大伸長量與靜態平衡伸長量比值為沖擊因子(impact factor) ,則其沖 擊因子為何?(5 分)
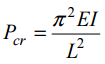
【已刪除】⑴試推導挫曲(buckle)時的臨界載重(critical load)
,並說明慣用符號 E 與 I 之物理或幾何意義。 (15 分)
⑵圖四為 AC 柱在紙面上之彎曲變形時,中點 B 處多了側向支撐,而在垂直紙面方向 之彎曲變形時,只有兩端拼接並無其他支撐,柱斷面 X-X 如圖五所示為矩形斷面, b 試求比值
應為何才能使兩方向之彎曲臨界載重相等?(10 分)
⑴鐵環與地面所需之最小靜摩擦係數為何?(15 分)
⑵此時鐵環角加速度為何?(5 分)
⑶鐵塊之加速度為何?(5 分)
相關試卷
114年 - 114 專技高考_機械工程技師:工程力學(包括靜力學、動力學與材料力學)#133710
114年 · #133710
114年 - 114 公務升官等考試_薦任_機械工程:工程力學(包括靜力學、動力學與材料力學)#133242
114年 · #133242
114年 - 114 專技高考_專利師(選試專業英文及工程力學)、專利師(選試專業日文及工程力學):工程力學#130105
114年 · #130105
114年 - 114 關務特種考試_三等_機械工程(選試英文):工程力學(包括靜力學、動力學與材料力學)#126623
114年 · #126623
113年 - 113 臺灣菸酒股份有限公司_從業評價職位人員試題_鍋爐:工程力學#132351
113年 · #132351
113年 - 113 專技高考_機械工程技師:工程力學(包括靜力學、動力學與材料力學)#123897
113年 · #123897
113年 - 113 專技高考_造船工程技師:工程力學(包括靜力學、動力學與材料力學)#123895
113年 · #123895
113年 - 113 專技高考_專利師(選試專業英文及工程力學)、專利師(選試專業日文及工程力學):工程力學#122211
113年 · #122211
113年 - 113 關務特種考試_三等_機械工程(選試英文):工程力學(包括靜力學、動力學與材料力學)#119496
113年 · #119496
113年 - 113 臺灣港務股份有限公司_新進從業人員甄試_師級_機械:工程力學(包括靜力電、動力學與材料力學)#118827
113年 · #118827