阿摩線上測驗
登入
首頁
>
統計學
> 105年 - 105 高等考試_三級_經建行政、工業行政、農業行政、交通技術:統計學#54575
105年 - 105 高等考試_三級_經建行政、工業行政、農業行政、交通技術:統計學#54575
科目:
統計學 |
年份:
105年 |
選擇題數:
0 |
申論題數:
17
試卷資訊
所屬科目:
統計學
選擇題 (0)
申論題 (17)
⑴若採抽驗後不放回方式,試寫出 X 之機率分配式、平均數及變異數;並求整批電 視機被接受之機率為何?(8 分)
⑵若採抽驗後放回方式,試寫出 X 之機率分配式、平均數及變異數;並求整批電視 機被接受之機率為何?(8 分)
⑶若採抽驗後不放回方式,試求在第 3 次檢驗中始驗出第 1 部有瑕疵電視機之機率 為何?(4 分)
⑴試據動差法(Method of Moments)求λ之估計量。(6 分)
⑵試據最概法(Method of Maximum Likelihood)求λ 之最概估計量(Maximum Likelihood Estimator)λMLE ˆ 。(6 分)
⑶驗證λ MLE ˆ 是否符合優良點估計量之一致性(Consistency)及充分性(Sufficiency)。 (8 分)
⑴求 X 之邊際機率分配。(4 分)
⑵求μ
x
及 σ
2
x 。(8 分)
⑶若已知μ
y
= 20 , σ
2
y = 60,求相關係數ρ 。(5 分)
⑷求 f ( x = 5| y = 20 ) 。(3 分)
【已刪除】⑴試用最小平方法配合迴歸直線
= a + bx。(5 分)
⑵試求相關係數。(5 分)
⑶驗證估計標準誤(Standard error of the estimate)s
e
= 2.033。(5 分)
⑷試求母體迴歸係數β 之 95%信賴區間。(5 分)
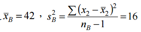
【已刪除】⑴試驗證生產線 B 之
。(6 分)
【已刪除】⑵今若另求得生產線 A 之
A = 40 , 20 s
2
A = 。試以α = 0.10 之顯著水準,檢定
是否成立?(6 分)
⑶以α = 0.10之顯著水準,檢定兩生產線所有產品之平均重量是否有差異?(8 分)
相關試卷
115年 - 115 身心障礙特種考試_四等_經建行政:統計學概要#138995
115年 · #138995
115年 - 115 關務特種考試_三等_關稅統計(選試英文):統計學#138987
115年 · #138987
115年 - 115 身心障礙特種考試_三等_統計:統計學#138977
115年 · #138977
115年 - 115 關務特種考試_四等_關稅統計(選試英文):統計學概要#138961
115年 · #138961
115年 - 115 身心障礙特種考試_三等_經建行政:統計學#138960
115年 · #138960
114年 - 114 地方政府公務、離島地區公務特種考試_三等_經建行政、農業行政:統計學#134798
114年 · #134798
114年 - 114 地方政府公務、離島地區公務特種考試_四等_經建行政:統計學概要#134781
114年 · #134781
114年 - 114 地方政府公務特種考試_三等_統計:統計學#134714
114年 · #134714
114年 - 114 地方政府公務特種考試_四等_統計:統計學概要#134710
114年 · #134710
114年 - 114 公務升官等考試_薦任_經建行政、工業行政:統計學#133268
114年 · #133268