所屬科目:教甄◆數學專業
41. 若 p、q 都是自然數,方程式的兩根都是質數,求55q+9p之值=? (A) 1989 (B) 1971 (C) 1980 (D) 1999
42. 解 ,則此方程式的實數解有幾個? (A) 1個 (B) 2個 (C) 3個 (D) 0個
43. 若 之值=? (A) 1 (B) -1 (C) 2 (D) -2
44. 若 ,求n = ? (A) 8 (B) 16 (C) 32 (D) 4
45. 當 x = ,則多項式 之值為何? (A) 32 (B) -32 (C) 1 (D) -1
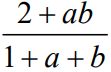
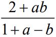
46. 設 ,則將寫成 a 的一次多項式為何? (A) a-2 (B) a-1 (C) a+1 (D) a+2
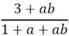
47. 若之值=? (A) 1 (B) -1 (C) 0 (D) 2
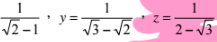
48. 求=? (A) ±√ 6 (B) √6 (C) ± √2 (D) √2
50. 多項式 整除,求m - n 之值=? (A) 7 (B) -3 (C) 3 (D) -7
51. 化簡 ?
(A) (B) (C) (D)
53. 乘積結果共有多少個 0? (A) 27 (B) 9 (C) 5 (D) 3
54. 若 x =,求 之值=? (A) -3 (B) 3 (C) -9 (D) 9 (E)送分
55. ? (A) (B)(C) (D)
56. 計算 =? (A) 13 (B) 14 (C) 15 (D) 16
57. 設,求 之值=? (A) (B) (C) (D)
58. 如圖,△ABC為正三角形,且 = 3, = 5,求△ABC的邊長=?
59. 如圖,菱形 ABCD中,已知 =70cm ,半徑 之長度? (A) 25 cm (B) 20 cm (C) 12 cm (D) 15 cm
60. 如圖,六邊形 ABCDEF 的六個內角相等,且知 = 1, 之長度? (A) 1 (B) 2 (C) 3 (D) 4
63. 方程式 為實數)的圖形為? (A)一點 (B)一圓 (C)一橢圓 (D)一拋物線
64. 設 x >1,求 之最小值? (A) (B) (C) 1 (D) 2
65. 設log23 = a,log37 = b,試以 a,b 表示log4256?(A)(B)(C)(D)
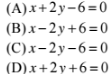
66. 若直線y=x+k 與拋物線相交於點 P ,則 P 的坐標為?
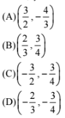
67. 已知一雙曲線的兩頂點為,其中一漸進線的斜率為 - ,則此雙曲 線之方程式為?
68. 設 P,Q 為橢圓上之兩點,且 的 直線方程式為?
69. 若兩直線 ,圓C 的直 徑為 ,則圓C 的方程式為?
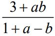
70. 設之值? (A) (B) (C) (D) 2
71. 試求方程式上之解? (A) 30° (B)150° (C) (D)
72. 試求極限 之值? (A)1 (B) -1 (C) e (D)不存在
73. 設 x , y 為實數,之值? (A) 1 (B) i (C) -1 (D) -i
74. 設=?
75. 試求之值? (A) 0 (B)1 (C) 2 (D) 1
77. 試問方程式 的實數解的個數為? (A)0 (B)1 (C)2 (D)無限多個
78. 某工廠生產燈泡,其品檢部門在檢驗燈泡品質時是從每一盒(每盒 12 個)中任取4 個來檢查,如果有 2 個或 2 個以上是不合格燈泡,則整盒淘汰。若某一盒燈泡中 有 5 個不合格燈泡,則此盒燈泡被品檢部門淘汰的機率為? (A) (B) (C) (D)
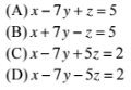
79. 給定空間中二直線與, 的平面方 程式為?
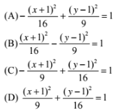
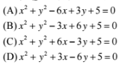
80. 若之最大值為? (A) 2 √2 (B) 3√ 2 (C) 2√ 3 (D)3 √3