所屬科目:教甄◆數學專業
1. 已知函數,在x>0時,其函數值恆正,則實數 k 的範圍為__________。
2. 已知?, ? ∈ ?且滿足,x2+y2=__________。
3. 空間座標中,一正立方體的八個頂點分別為 (0,0,0) 、(1,0,0) 、(0,1,0) 、(0,0,1) 、(1,1,0) 、(1,0,1) 、 (0,1,1) 、(1,1,1) ,已知三個平面 E1 : 2x+2y+2z=3 、 E2 : 3x+y+3z=5、 E3 : 3x+3y+4z=6與此正立方體的截痕分別為 a 邊形、 b 邊形、 c 邊形,求序對 ( a,b ,c ) =_____ 。
4. 已知空間中一直線 以及線外兩點 A(5,2, -2) 、 B(1, -3,5) 。若 P 點為L上之動點, 當有最小值時的 P 點座標為_____ 。
5. 已知[x]表示不大於實數x的最大整數,解方程式 (log x )2- [log x ]-6=0 得x =_____ 。
6. a > 0,已知 x 的多項方程式 f(x)=x3+(-a2+2a+2)x-2a2-2a=0 有一實根二虛根,求 a 的範圍為_____ 。
7. △ABC中,已知 M 為 中點, 上一點 P 使 = 4 , = 3, 上一點 Q 使 = 2, =1, ∠PMQ =90。 ,則 cos A =_____ 。
8. 如圖所示,廣場中央有一座噴泉,某人從A點出發,沿噴泉周圍的小路不重複地繞噴泉走一周,最終回到A點的走法有_____種。(噴泉會在你走的路線內部)
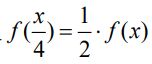
9. 已知函數f(x)在區間[0,1]中滿足f(x) + f(1 − x) = 1及 ,且當 0 ≤m≤n≤1 時, f(m) ≤ f(n);若f(0) = 0,則 =__________。
10. 設有一拋物線y = x 2 − 2x − 5,過A(−1, 0)的一直線L與此拋物線所圍成的區域面積有最小值時, 求L的方程式為___________。
11. 在△ABC中,已知∠B的分角線邊的中線垂直且等長(E在 上),已知 =8, 求△ABC的周長=_____ 。
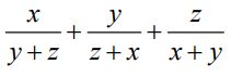
12. 計算=__________。
13. 設 [x] 表示小於或等於 x 的最大整數,則 =__________。
14. 空間中兩點 A( x1, y1, z1) 、 B (x2 ,y2 ,z2 ) 之間的“絕對距離”定義如下:
d(A,B)=︱x1-x2 ︱+︱y1-y2︱+︱z1-z2︱。 已知 s > 0,定義以 A 點和 B 點為焦點的“絕對橢球”為點集合 {P ︱d (P,A)+d(P,B)=s } 。 則經過點 (1,0,0) 且焦點為 (0,3,0) 與 (0,0,4) 的絕對橢球之體積為__________。
二、計算證明題 1. 設函數f(x) = x + 3 + √5 − x2,求?(?)的最大值及最小值。
(1) =?
(2) =?
(1) 證明滿足題意的k值的最小值為6。
(2) 當k = 6,此四個交點座標 ( x,y ) 皆會滿足(x-a)2+(y-b)2≤r2 ,求 r 的最小值。