阿摩線上測驗
登入
首頁
>
教甄◆數學專業
>
114年 - 114 國立彰化高級中學_教師甄選初試試題:數學科#126821
> 申論題
題組內容
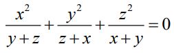
2. 已知實數 x、y、z 滿足: (x+y+z )(x+y)(z+x)≠0 , 且
,試求:
(2)
=?
相關申論題
1. 已知函數,在x>0時,其函數值恆正,則實數 k 的範圍為__________。
#539790
2. 已知?, ? ∈ ?且滿足,x2+y2=__________。
#539791
3. 空間座標中,一正立方體的八個頂點分別為 (0,0,0) 、(1,0,0) 、(0,1,0) 、(0,0,1) 、(1,1,0) 、(1,0,1) 、 (0,1,1) 、(1,1,1) ,已知三個平面 E1 : 2x+2y+2z=3 、 E2 : 3x+y+3z=5、 E3 : 3x+3y+4z=6與此正立方體的截痕分別為 a 邊形、 b 邊形、 c 邊形,求序對 ( a,b ,c ) =_____ 。
#539792
4. 已知空間中一直線 以及線外兩點 A(5,2, -2) 、 B(1, -3,5) 。若 P 點為L上之動點, 當有最小值時的 P 點座標為_____ 。
#539793
5. 已知[x]表示不大於實數x的最大整數,解方程式 (log x )2- [log x ]-6=0 得x =_____ 。
#539794
6. a > 0,已知 x 的多項方程式 f(x)=x3+(-a2+2a+2)x-2a2-2a=0 有一實根二虛根,求 a 的範圍為_____ 。
#539795
7. △ABC中,已知 M 為 中點, 上一點 P 使 = 4 , = 3, 上一點 Q 使 = 2, =1, ∠PMQ =90。 ,則 cos A =_____ 。
#539796
8. 如圖所示,廣場中央有一座噴泉,某人從A點出發,沿噴泉周圍的小路不重複地繞噴泉走一周,最終回到A點的走法有_____種。(噴泉會在你走的路線內部)
#539797
9. 已知函數f(x)在區間[0,1]中滿足f(x) + f(1 − x) = 1及 ,且當 0 ≤m≤n≤1 時, f(m) ≤ f(n);若f(0) = 0,則 =__________。
#539798
10. 設有一拋物線y = x 2 − 2x − 5,過A(−1, 0)的一直線L與此拋物線所圍成的區域面積有最小值時, 求L的方程式為___________。
#539799
相關試卷
115年 - 115 國立高科實驗高級中等學校_專任教師甄選_國中部︰數學領域數學專長#138920
115年 · #138920
114年 - 114-1 臺北市立松山高級商業家事職業學校_教師甄選題目:數學#138394
114年 · #138394
114年 - 114 新北市立國民中學_教師聯合甄選試題: 數學科#127346
114年 · #127346
114年 - 114 國立臺灣藝術大學_綜合學科測驗﹕數學#126930
114年 · #126930
114年 - 114 國立彰化高級中學_教師甄選初試試題:數學科#126821
114年 · #126821
114年 - 114 臺北市立陽明高級中學_正式教師甄選試題:高中數學科#126749
114年 · #126749
114年 - 114 國立師大附中_教師甄選︰數學#126229
114年 · #126229
113年 - 113 金門縣國民中學正式教師聯合甄選初試試題:數學#120861
113年 · #120861
113年 - 113 新北市公立高級中等學校教師聯合甄選試題:數學#120730
113年 · #120730
113年 - 113 桃園市國民中學新進教師甄選試題:數學科#120523
113年 · #120523