所屬科目:教甄◆數學專業
1. 有 12 位新生兒的體重:2.9、3.0、3.2、3.4、3.5、3.6、3.6、3.7、3.8、3.8、4.1、4.2 公斤, 這群新生兒體重的四分位距(inter-quantile range,IQR)是多少公斤? (A)0.5 (B)0.6 (C)3.3 (D)3.2
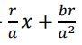
2. 若等比數列首項 a = 4、公比 r = ,則前 10 項和最靠近下列哪一個值? (A)2 (B)4 (C)6 (D)8
3. 給定三點 A(–1 , 3)、B(2 , 7)、C(5 , 3),則三角形 ABC 的面積為何? (A)9 (B)12 (C)15 (D)18
4. 下列各組數值中,哪一組的標準差最大? (A)1, 2, 4, 5, 6 (B)2, 2, 2, 3, 3 (C)5, 7, 8, 9, 10 (D)1, 4, 6, 8, 9
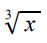
5. 將乘開後是多少位數? (A)34 (B)35 (C)36 (D)37
6. 解不等式 < 2。 (A)x < 3 或 x > 8 (B)3 < x < 8 (C)x < 8 (D)x > 8
7. 某箱子中有 5 個紅球與 4 個藍球,每球取出的機會均相等,取後不放回連續抽取 2 球,兩球 同色的機率是? (A)(B)(C)(D)
8. 化簡之值為下列何者? (A)−3 (B)−4 (C)−5 (D)−6
9. 設a、b、c為正整數,如果a為 15 的倍數,b為 12 的倍數及c為 21 的倍數,則下列何者恆正 確? (A)(a + b + c) 2 必為 9 的倍數 (B)a + b + c 必為 9 的倍數 (C)a + b + c 必為 2 的倍數 (D)a 2 + b 2 + c 2 必為 18 的倍數
10. 有一邊長為 2 的正方形,今將此正方形截去四個大小相同的角後,變成正八邊形,則此正八 邊形的邊長為多少? (A)√2 − 1 (B)2 − √2 (C)√2 (D)2√2 − 2
11. 在分數加法算式 中,需刪除下列哪二個分數,可使剩下的分數之和正好是 1? (A) (B) (C) (D)
12. 某社團共有 6 位男社員、4 位女社員及 2 位指導老師。現欲從中選出一個 5 人的小組,要求 小組中必須恰好有 3 位男社員,且至少有 1 位女社員。請問共有多少種不同的選法? (A)160 (B)280 (C)300 (D)320
13. 設 。若 f(x)可逆,則其反函數=? (A)(B) (C)(D)
14. 方程式 | | x − 3 | − 2 | = 1 有幾個解? (A)1 個 (B)2 個 (C)3 個 (D)4 個
15. 解方程式log2 (x + 3) + log2 (x – 4) =3。 (A)x = −4 或 x = 5 (B)x = −4 (C)x = 5 (D)無實數解
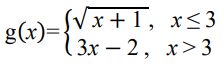
16. 已知分段函數 。請問方程式g(x)=2的所有實數解為何? (A)只有 3 (B)只有(C)和 3 (D)無實數解
17. sin330° × tan(−585°) + cos930° × tan420° =? (A)−2 (B)−1 (C)1 (D)2
18. 設A為 n 階矩陣,令符號det(A) 表示矩陣A的行列式(determinant),試判斷下列何者正確? (A)若A、B皆為 n 階方陣,則det(AB) = det(A).det(B) (B)若 n 階方陣A的秩rank(A) = n,則det(A)= 0 (C)若A為 n 階方陣,則det(A) ? = −det(A),其中A ?表示A的轉置矩陣(transpose) (D)若A為 n 階可逆方陣,det(A) −1 = det(A)
19. 已知 f(x)為二次函數,且 f(2023)= 2,f(2024)= 4,f(2025)= 7,則 f(2026)=? (A)5 (B)8 (C)11 (D)13
20. 方程式 3 x+1 = 22x−1 的解最靠近哪一個數字?(ln 2≒0.693、ln 3≒1.099) (A)5 (B)6 (C)7 (D)8
21. 若 f(x) = ,則函數 g(x) = + 1 的圖形對 x 軸與 y 軸的何種平移變換就可以跟 f(x) 重合? (A)向右平移 2 單位,再向下平移 1 單位 (B)向右平移 2 單位,再向上平移 1 單位 (C)向左平移 2 單位,再向上平移 1 單位 (D)向左平移 2 單位,再向下平移 1 單位
22. 點 P 是直線 x + y = 7 與直線 2x − y = 5 的交點。直線 L 垂直於直線 4x + 3y = 10 且通過點 Q(1, 2),則點 P 到直線 L 的距離為何? (A)1 (B)3 (C)5 (D)
23. 已知a、b、c、d為四個實數,如果 a = 2b + c , b = 2c + d , 2c = d + a + 1 , d = a − c,則 下列何者正確? (A) (B)(C) (D)
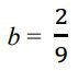
24. 已知 a、b為正實數,且a > 2b,如果2 log( a − 2b) = log a + log b,則之值為下列何者? (A)0 (B)(C) (D)
25. 已知a、b、c、d分別表示 1 至 9 中的四個不同整數,如果兩個二位數 10a + d 與 10b + d 的乘積恰好是一個三位數(100c + 10c + c),則a + b + c + d之值為下列何者? (A)21 (B)23 (C)25 (D)27
26. 令a、b、c為三個正實數且滿足,試問√abc 之值為下列何者? (A)2 (B)(C)1 (D)
27. 已知實數a、b滿足條件 ab = 8 與 a 2b + ab 2 + a + b = 81,則 a 2 + b 2 =? (A)50 (B)61 (C)65 (D)67
28.如下圖,四邊形ABCD和四邊形CEFG為兩個正方形,且 = 4, 則ΔAEG的面積為下列何者?
(A)4 (B)6 (C)8 (D)10
29. 已知二個正整數a = ,則正整數(9 × a × b)的所有數字和為下 列何者? (A)891 (B)900 (C)909 (D)918
30. 試問 cos 280° + cos 2160° + cos80° cos160°之值為下列何者? (A)(B)(C) (D)
31. 在坐標平面上,令n為正整數,如果直線,分別交 x 軸與 y 軸於二 點,且O為原點。若直角三角形的面積為,則 s1 + s2 + s3 + ⋯ + 之值 為下列何者? (A)(B)(C)(D)1
32. 試問 log( ?an 1 °) + log( tan 2 °) + log( tan 3 °) +⋅⋅⋅ + log( tan 8 8°) + log( tan 8 9°) 之值為下列何者? (A)− 1 (B)0 (C) (D)1
33. 已知a、b為實數,且a ≠ 0,如果一多項式f(x)除以ax + b,得商式q(x),餘式為r,其中r為實數,則下列何者正確的? (A)f(x)除以 x + b a ,得商 q(x) ,餘式為 r (B)xf(x)除以 ax + b ,得商 xq(x) − ,餘式為 (C)xf(x)除以 ax + b ,得商 xq(x) + ,餘式為 − (D)x 2f(x)除以 ax + b ,得商 x 2q(x) + ,餘式為 −
34. ΔABC 中,,且 D、E、F 三點分別在三邊上,使得,又ΔBDF 之面積為 9,ΔAFE 之面積為 15,ΔDCE 之面積為 32,則 ΔDEF 與ΔABC 面積之比值為下列 何者? (A)(B)(C) (D)
35. 試問滿足方程式 x 3 − y 3 = 7(x − y) 和 x 3 + y 3 = 5(x + y) 之所有實數數對解(x, y)共有幾組解? (A)6 (B)7 (C)8 (D)9
36. 試問橢圓 x 2 + 4y 2 − 2x + 8y − 11 = 0的正焦弦長為多少? (A)2 (B)4 (C)8 (D)16
37. 正方形ABCD中,E、F分別為邊的中點,則 sin ∠ EA? =? (A) (B)(C) (D)
38. 投擲一個公正的骰子二次,已知第一次出現的點數為a,第二次出現的點數為b,如果一元二 次方程式 x2 + ax + b = 0有二實根α 及β,則 α2 + β2 ≥ 9的機率為下列何者? (A) (B)(C) (D)
39. 某班級中有 6 位同學微積分期中考成績為 62、59、51、51、54、65,平均分數為 57 分,若 今老師採取每人分數乘上 1.5 倍之調整方式,試問下列何者為真? (A)平均數為 58.5 分,變異數增加 2.25 分 (B)平均數為 58.5 分,變異數增加 1.5 倍 (C)平均數為 85.5 分,變異數增加 2.25 倍 (D)平均數為 85.5 分,變異數不變
40. 研究者欲檢定大學男生的體重(μ)是否為 70 公斤,若自大學男生中抽出一組 81 人的樣本, 此樣本均數x̄為 73.3 公斤,假設母體標準差之已知為 9 公斤,令顯著水準= 0.05,則檢定統 計量為? (A)0.367 (B)8.140 (C)0.041 (D)3.300