所屬科目:教甄◆數學專業
A. 若同時投擲三個公正的骰子一次,則三個骰子中,出現有兩個骰子點數和為 7 或三個骰子點數和為 7 的機率為。
B. 設 T 為平面線性變換矩陣,T 將點( 1 , -1 ) 變換為點( 2 , 0 ),並將點( 3 , 1 )變換為點( 6 , 4 )。現將點P( 2 , -2025 ) 連續使用 T 變換 n 次後為 Q 點,若 Q 點在第一象限,則 n 的最小自然數為 ⑤⑥。
C. 如下圖,坐標空間中,有一個實心體Ω,其底部為在 xy 平面上的橢圓區域,若用垂直x軸於點( x, 0 , 0 ) x的平面E,對Ω所作的截面都是正方形,則Ω的體積為⑦⑧。
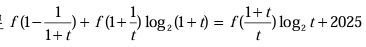
D. 設函數f :(0 ,+∞ )→ ,滿足 ,> 0,則f (128)的值為⑨⑩⑪。
E.△ABC中,若tan Atan B =tan Btan C+tan Ctan A ,則cosC的最小值為 。
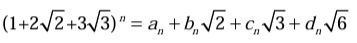
F. 已知tanα 、 tan β為實係數方程式x2+(3p-1)x+9p2 = 0的兩實根,且不存在,若可能的實數 p 值之最大範圍為a≤ p ≤b ,則a +b 的值為 。
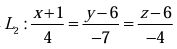
G. 坐標空間中,已知直線為兩直線與的鈍交角平分線,其中a ,b ,c ,d ∈ ,則a+ b+ c +d 的值為⑰⑱ 。
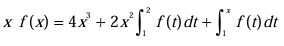
H. 坐標平面上,設通過點P k ( k, 6 )恰可作 3 條相異直線與y=f(x)=x3-x的圖形相切,若可能的實數 k 值之最大範圍為 ,則a × b的值為⑲⑳。
I. 有紅、黃、藍三種顏色的球,每種球皆有九顆,若將取出來的球排成一列,規定只有黃球和黃球不能相鄰,則排出一列共九顆球的排法共有種。
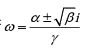
J. 設ω是五次複係數方程式5-3x4-c=0的虛根,已知|c| =48 且|ω| =2 ,若 ,其中α ,β , 且α ,γ互質,i =√-1,則α+β+γ的值為。
K. 設f (x)為二次實係數多項式,滿足 ,則f ( -1) 的值為 。
L. 已知方程式的正實數解為t ,將t2的值用四捨五入法取至小數點後第二位,則t2≈0.。
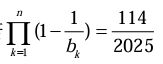
M. 定義符號:=a1×a2×a3×...×。設b1,b2,b3,...為n個皆大於1的相異正整數,若 ,則n的最小正整數值為 。
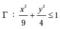
N. 設x ,y ,z , ,已知x+y +z = 0, x2+y2+z2=6,若x2+y2+z2的最大值為 M,最小值為 m,則M × m的值為。
O. 設 ,其中n,,則的值為 。
P. 已知log2 ≈0.3010 ,log3 ≈0.4771 ,log7≈ 0.8451 ,設,若N的整數部分為a位數,N的最高位數字為b,則數對(a ,b ) = 。
二、非選題
Q. 坐標空間中,有三個彼此互相垂直的向量。已知= ( 2 , -1 ,0 )且 ( -1 , 2 , 3 )。試求由所張出的平行六面體體積。(請使用兩種不同的解法)
R. (1) 試敘述『微積分基本定理』(The Fundamental Theorem of Calculus )。
(2) 在課堂教學『微積分基本定理』時,試設計一個範例印證其相關觀念。
(3) 當學生學習『微積分基本定理』時,試舉例學生會出現何種錯誤情形,並寫出其正確的方式。