所屬科目:中山◆電機◆控制系統
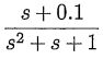
1. Figure 1可為以下哪個轉移函數之步階響應 (A)(B) (C) (D)(E) 以上皆非
2. Figure 2可為以下哪個轉移函數之步階響應 (A)(B)(C) (D)(E) 以上皆非
3.Figure 3可為以下哪個轉移函數之步階響應 (A)(B)(C) (D)(E) 以上皆非
4.Figure 4可為以下哪個轉移函數之步階響應 (A)(B) (C)(D)(E) 以上皆非
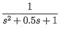
5. Figure 5 可為以下哪個轉移函數之步階響應 (A)(B) (C) $\frac{1}(D)(E) 以上皆非
6. Figure 6 可為以下哪個轉移函數之步階響應 (A)(B)(C)(D)(E) 以上皆非
7. Figure 7 可為以下哪個轉移函數之脈衝響應 (A)(B)(C)(D)(E) 以上皆非
8.下圖可為以下哪個轉移函數之脈衝響應 (A)(B)(C) (D) (E) 以上皆非
9.G 的相對階數(relative degree)為何? (A) 0 (B) 1 (C) 2 (D) 3 (E) 以上皆非。
10.G 有幾個極點在原點? (A) 0 個 (B) 1 個 (C) 2 個 (D) 無法判斷 (E) 以上皆非。
11. G 有幾個零點在右半平面? (A) 0 個 (B) 1 個 (C) 2 個 (D) 無法判斷 (E) 以上皆非。
12. 已知當 C=1 時閉迴路系統為穩定。請問此時 r 到 y 之轉移函數的頻寬大約為何? (A) 0.5 rad/s (B) 0.01 rad/s (C) 5 rad/s (D) 10 rad/s (E) 以上皆非。
13.已知當 C=1 時閉迴路系統為穩定。請問若此時 r 為振幅為 β 的步階輸入,請問 y 之終 值為何? (A) 0.5β (B) 0.1β (C) 0.8β (D) 1.2β (E) 以上皆非。
14.已知當 C=1 時閉迴路系統為穩定。此時該系統無法有效追蹤以下哪類訊號(追蹤誤差將發 散)? (A) 弦波訊號 (B) 斜坡訊號 (C) 拋物線訊號 (D) 以上皆是 (E) 以上皆非。
15.令 C=K, K>0。請問當 K 增加到多大時,閉迴路會變為不穩定? (A) 無論 K 多大閉迴路系統都會穩定 (B) 介於 1 與 2 之間 (C) 當 K = 2.5 (D) 當 K>3 (E) 以上皆非。
16. 假設 τ > 0, b₁ > 0, 且 < 4b0。此時,若訊號 u 為單位步階訊號且 y 之初值為零,則下 列有關訊號 y 的敘述,何者不正確? (A) y(t) = 0, t ∈ [0,τ) (B) y 收斂到終值(steady state) 前,有震盪現象 (C) y 收斂到終值前,沒有超越終值的現象 (D) y(t) ≥ 0, ∀ t∈ [0,∞) (E) y 的 終值為 1/b0
17. 假設 τ > 0, C = K, K > 0。此時閉迴路系統有幾個極點? (A) 零個 (B) 一個 (C) 兩個 (D) 三個 (E) 無窮多個
18. 假設 τ > 0, b₁ > 0, b0 > 0, C = K, K > 0。關於這個閉迴路系統,以下敘述何者正確? (A) 無論 τ, b₁, b₀ 之正值為何,系統 G 之增益邊界都是有限的 (B) 無論 τ, b₁, b₀ 之正值為何,系統 G 之相位邊界都是無限的 (C) 若閉迴路系統為穩定,則步階響應的穩態誤差必然為 零 (D) 無論 τ, b₁, b0, K 之正值為何,閉迴路系統絕不可能為穩定 (E) 以上皆非
19. 假設 τ = 0, b₁ = 0, b0 > 0。以下敘述何者不正確? (A) 系統 G 之增益邊界是無限的 (B) 選擇控制器 C 為 PD 控制器時,閉迴路系統可能會穩定 (C) 選擇控制器 C 為 PID 控制器時,閉迴路系統可能會穩定 (D) 選擇控制器 C 為 PI 控制器時,閉迴路系統可能會穩定 (E) 選擇控制 器 C 為 lead compensator 時,閉迴路系統可能會穩定
20. 假設 τ = 0, b₁ = 0, b0 = 4, C = K(s+1), K > 0。以下敘述何者正確? (A) 當 K 太大時, 閉迴路系統為不穩定 (B) 當 r(t) = sin(2t) 時,閉迴路系統之追蹤誤差的穩態值必然為零 (C) 當 r(t) = cos(2t) 時,閉迴路系統之追蹤誤差沒有穩態值 (D) 當 r(t) 為斜坡訊號時,閉迴路系統之追蹤誤差為一非零之定值 (E) 以上皆非
21.受控系統 G 有 (A) 穩定零點 (B) 不穩定零點 (C) 兩個穩定極點 (D) 兩個不穩定極點 (E) 一個穩 定極點、一個不穩定極點
22.假設控制器 C≡K, K>0。以下何者正確? (A) 當 1<K<2, 閉迴路系統為穩定 (B) 當 K=2, 閉迴路系統有一個極點在虛軸上 (C) 當 2<K<4, 閉迴路系統為穩定 (D) 當 K = 4, 閉迴路系統有一對共厄極點 (E) 當 K > 4, 閉迴路系統有一個不穩定極點
23.假設控制器 C=K, K>0, 且 K 之值讓閉迴路系統為穩定。以下何者正確? (A) 閉迴路系 統的步階響應有 undershoot (B) 閉迴路系統的步階響應有負的終值 (C) 閉迴路系統的步階響應 之穩態誤差可藉由增大 K 之值來無限降低 (D) 該系統有無窮大的相位邊界 (E) 閉迴路系統為極小相位系統
以下第二十四到第二十八題為多選題, 各題相互獨立。
24.以下關於回授控制機制的敘述, 何者為真? (A) 可讓不穩定系統變穩定 (B) 可讓穩定系統變不穩定 (C) 可減少系統抵禦外來干擾的能力 (D) 可改變系統零點的位置 (E) 可增加系統的相位 邊界
25.以下關於 PD 控制器的敘述, 何者為真? (A) 通常會增加穩定度邊界 (B) 適合抑制高頻雜訊 (C) 通常會降低步階響應之上升時間 (D) 通常可增加欠阻尼二階系統之阻尼係數 (E) 是一種相 位超前補償器
26.以下關於 PI 控制器的敘述, 何者為真? (A) 通常會增加穩定度邊界 (B) 不可以消除或改善步階響應之穩態誤差 (C) 是一種相位落後補償器 (D) 不適合抑制低頻雜訊 (E) 可用來降低步階響 應之最大超越量
27.以下敘述何者為真? (A) 相對階數為 1 的穩定系統都有無窮大的增益邊界 (B) 相對階數為 2 的極小相位穩定系統有無窮大的增益邊界 (C) 任何穩定的極小相位系統都有無窮大的增益邊界 (D) 任何穩定系統都有可能有無窮大的相位邊界 (E) 回授系統中只要有訊號傳輸延遲, 系統就不可能有無窮大的的相位邊界
28.以下關於線性非時變狀態變數系統 (=Ax(t)+Bu(t), y(t)=Cx(t)+Du(t)) 的敘述, 何者為真? (A) u 到 y 之轉移函數必為 proper (B) 若該系統為可控制 (controllable), 則 u 到 y 之轉移函數的階數必然與狀態變數之個數相同 (C) 若該系統為可觀測 (observable), 則 u 到 y 之轉移函數的階數必然沒有不穩定的零點 (D) 系統的可控制性 (controllability) 無法由回授機制來改變 (E) 系統的可控制性 (controllability) 與可觀測性 (observability) 之間沒有任何必然的關聯