所屬科目:自動控制學
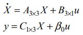
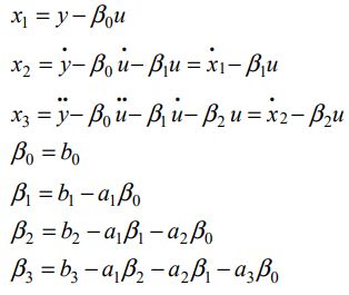
一、考慮下列的動態微分方程式
⑴要求系統穩定時控制器 k 的條件為何?(10 分)
⑵畫出此系統根軌跡(root locus)並標註與虛數軸交點的 k 值為何?(15 分)
三、以漸近線(asymptote)方式繪出下列轉移函數(transfer function)的波德圖(bode plot)。(20 分)
⑴求此系統在時間領域(time domain)的響應(輸出解)。(10 分)
⑵上述的系統輸出 y(t) 響應之穩態解為何?如果輸入系統訊號改為一脈衝函數 (impulse function),則系統輸出響應之穩態解為何?(10 分)
五、在一個閉迴路控制系統(closed loop control system)中,如果控制器原本只有一個正 比控制器(proportional controller)的設計,後來多加入一個積分控制器(integral controller)在設計中,請說明其目的為何?有何缺點?(10 分)