所屬科目:教甄◆數學專業
1. 已知A(1,1,2)、B(-1,0,3)、C(3,8,1)及 D 點為空間中四點,其中 D 在上, 求四面體 ABCD 之體積______________
2. 一四面體 ABCD 置於空間坐標系中,其中A(0,0,0),D 在 z 軸上。若,,將此四面體繞 z 軸旋轉一圈,繞行的區域所得體積為_________
3. 若且, 試求 y 的範圍________________
4. 設 A、B、O 為複數平面上三點,分別表示複數α 、β 、0。若 α 、 β 同時滿足│α-3│=1和 β=(-1+i)α,則△ABO 面積最大值與面積最小值的總和為_____________
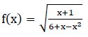
5. 若已知實函數,則 f(x)的定義域為____________
6. 除以101 ×102 的餘數為_____________
7. 解方程式 2x6 − 3x5 + 4x4 − 3x3 + 4x2 − 3x + 2 = 0 ,得到的 6 個根中,落在複數平面第一象限的所有根為_____
8. 數學科普作家馬丁・加德納(Martin Gardner, 1914-2010)曾說:「世界上僅存在一個九位 數,其中首位數是 1 的倍數,前兩位數是 2 的倍數,前三位數是 3 的倍數,…,前八位數 是 8 的倍數,前九位數是 9 的倍數,但是 1,2,3,4,5,6,7,8,9 每個數字都只能出現一次。」 請問這個九位數為_____
9. 已知一數列,其中 = n3 + 2n2 − 200n,n 為正整數,則=______________________
10.若1,2,3,4,..99998,99999,100000 這十萬個正整數中,各位數字和不大於 10 的正整數有 k 個, (例如:3211 就是其中一個,因為3+2+1+1=7≤10。)試求 k 的值=___________________
11.設△ABC 之外心為 O, 垂心為 H, 若 ,且 ,則數對 ( x , y ) = _______________________
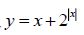
12.已知函數y=x+log2(kx2)的圖形與函數的圖形交於 A、B 兩點。 若,則 k = __________________。
13. 三人猜拳(剪刀、石頭、布)直到最後有一人獲勝為止,則猜拳次數的期望值為 __________________
14.設。求與 2S 最接近的整數為__________________
(1)將 以θ(θ=∠POA)的函數表之
(2)求矩形 PQRS 的最大面積
(1) 試求 a3 及 a4 的值。
(2) 試以 n 表示出 的值,其中 n≧3。
3. 求函數的最小值及此時的 x 值。