所屬科目:教甄◆數學專業
1、設,求 =_____
2、設f(x)=ax+b,其中 a,b 為實數, ,。若=128+381, 則a+ b = ______。
3、若f(x)=x3-x,自點P(2,A)可對y=f(x)作三條相異切線,則實數 a 的範圍為 ______
4、設 為拋物線y2=4x,O為原點,且,求△OAB 面積的最小值為 ______。
5、設 z 為複數,且滿足Arg(z+3i)=40°,Arg(z+3i)=310°,求│z│=_____。
6、如下圖,在四面體 A-BCD中,若,的距離為 2, 且 之夾角為, 則四面體 A-BCD 的體積為______ 。
填充題 B 部分
8、如下圖,直角△ABC 的斜邊為,若,的三等分點為 D、E,且∠ACD=α,∠DCE=β,∠ECB=γ。
則=_____
9、若的展開式為,則之值為______位數。(log 3 ≈0.4771 )
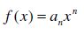
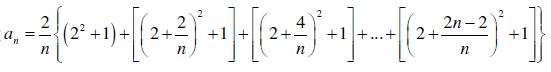
10、已知n∈N,當時,函數且a1=1。若f(x)在區間(0,1]上為連續函數, 則 =______。(以 n 表示)
11、如果自然數a 的各位數字之和等於 7,那麼稱a 為“吉祥數”。將所有“吉祥數”從小到大排成一列如a1,a2,a3,...,若=2005,則=_____
(1)某人在這項遊戲中最多能過幾關?
(2)他連過前三關的機率是多少?
(1)首項 a1
(2)公差
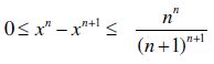
三、已知0≤x≤1,n∈N。試證明。