所屬科目:教甄◆數學專業
17. 若 除以 的餘式為 ,則= ? (A)-2 (B)2 (C)-4 (D)4
18. 平面上一個三角形的三個內角和為 (A) (B) (C) (D)以上皆非
19. 表示座標平面上的一個圓,此圓的半徑為 (A) (B) (C) (D)以上皆非
20. ? (A) (B) (C) (D)
21. 若 ,則 ? (A)1 (B)-1 (C)-27 (D)27
22. 直線x+2y=1 和下列哪條直線平行 (A) (B) (C) (D)以上皆非
23. 若 ,則 (A)0 (B)1 (C)-2 (D)2
25. 平面上,過兩點 和 的直線斜率為 (A)2 (B) (C)-1 (D)1
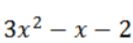
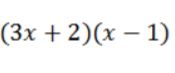
26. 把 因式分解,可得 (A) (B) (C) (D)
27. 展開 ,其常數項為? (A)1 (B)-1 (C)213 (D)(-2)13
28. 若 12 和 40 的最小公倍數為 ,則 (A) (B) (C) (D)