所屬科目:技檢◆工業電子-丙級
9. 下圖符號為(A)油斷路器(B)蜂鳴器(C)電鈴(D)指示燈。
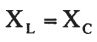
13. RLC 串聯諧振電路,其阻抗 Z=(A) (B) (C) (D)R。
25. 以 IC 腳焊接為例,下列各焊點何者最佳:(A) (B) (C) (D) 。
26. 下圖之電路,已達穩定狀態,則由電壓源所供給的電流(I)約等於(A)5A(B)20A(C)10A(D)0 A。
27. 下圖所示,求 A、B 兩端戴維寧等效電阻為(A)3Ω(B)8Ω(C)2Ω(D)5Ω。
31. 下圖符號表示(A)熱電偶(B)焊接點(C)電熱線(D)音叉。
33. 測定電熱器(H)之消耗電力時,電壓表(V)及電流表[A]之正確接線為:(A) (B) (C) (D) 。
37. 在數位邏輯中,反或閘的符號為(A) (B) (C) (D) 。
40. RLC 並聯電路產生諧振時(A)呈現電感性(B)呈現電容性(C)阻抗最小(D) 。
43. 下圖所示,A 點與接地點間之輸入阻抗約等於(A)RB+αRE (B)RB+RE (C)RB+RE(1+β) (D)RB 。
47. 下圖符號為(A)整流二極體(B)通道二極體(C)發光二極體(D)稽納二極體。
51. 下圖,輸入一方波信號為 1kHz,在輸出未飽和情況下,輸出信號 應為(A)鋸齒波(B)方波(C)三角波(D)矩形波。
64. 下圖 V 輸出波形近似於(A)方波(B)階梯波(C)三角波(D)正弦波。
67. 下圖 Y 為(A) (B)0(C)A(D)1。
74. 在 J.K 正反器中,J=0、K=1 時,當 CLOCK (時脈)信號激發後,其輸出 Q 與 為(A)Q=0, =1(B)Q=1, =0(C)Q=1, =1(D)Q=0, =0。
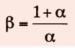
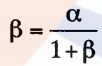
78. 電晶體的共基極短路電流增益 α 與共射極短路電流增益 β 兩者之間的關係為:(A) (B) (C) (D) 。
80. 下圖電路,當 SW 斷路後 0.1sec 時,電容器兩端電壓為(A)36V(B)90V(C)10V(D)63V。