所屬科目:測量平差法
二、A 點坐標已知(0.000, 0.000) m 且誤差小至不計,在 A 點對 B 點進行距離 S 和角度 α 觀測,其中S = 100 m ± 0.005 m,α = 30°±10'',試求 B 點坐標和 其誤差。(25 分)
三、水準網如下圖所示(箭頭為高程上升方向),水準點 A 和 C 高程已知, HA=0.000 m,HC=1.000 m,B 和 D 點高程未知。為求 B 和 D 點高程進行 水準測量,各高程差觀測如下表所示。試按間接觀測平差求 B 和 D 點高 程及中誤差、後驗單位權中誤差、各觀測值最或是值及其中誤差。(25 分)
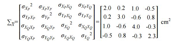
四、在一觀測網中,P 點和 Q 點坐標(X,Y)平差值之變方-協變方矩陣 (variance-covariance matrix)為:。試求 P 和 Q 點誤差橢圓和 PQ 兩點相對誤差橢圓(誤差橢圓 包含長、短軸半徑和長軸方位角)。(25 分)