所屬科目:工程數學(應用數學, 線性代數、微分方程、複變函數與機率)
1 假 設 A, B 為 同 階 方 陣 , 則 下列敘述何者正確? (A)①②③④皆成立 (B)僅①②③成立 (C)僅②③成立 (D)僅①③成立
4 已知 n 為任意正整數, 皆為已知常數矩陣,為未知矩陣。若線性方 程式系統 Ax = b 存在唯一解,下列何者正確? (A)adj(A) = 0 (B)rank(A) = 0 (C)det(A) = 0 (D)nullity(A) = 0
5 求出線性轉換的代表矩陣為:
(A) (B) (C) (D)
6 矩陣 (A)1 (B)2 (C)3 (D)4
8 假設路徑 C 為一逆時針方向的單位圓之值為何? (A) 2πi (B)πi (C) (D) − πi
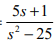
9 函數 f (t)之拉氏轉換(Laplace transform)表示為 L{ f (t)},若 L{ f (t )} = ,則 f (t)為何? s − 3s + 2 其中 u(t)為單位步階(unit step)。
(A)
(B)
(C)
(D)
10 假設方程式的解是 y(t)=a+bet+ce −t , 其中 a,b,c 是常數,求a+b+c=? (A)-1 (B)1 (C)2 (D)3
11 下列何者可做為微分方程式 2 + (6 x − e− 2 y ) = 0 的積分因子(integration factor)? (A)e2xy3 (B)x3e2y (C)e3y (D)e3x
12 給定一個二維(2-dimension)微分方程式 x′(t ) = −2 y (t ), y′(t ) = x(t ) ,且滿足 x(0) = 2, y(0) = 0, 2 則下列選項何者正確? (A) x(t ) = 2 cos t (B) x(t ) = 2 cos 2t (C) y(t ) = sin 2t (D) y (t ) = 2 sin 2t
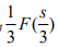
16 求函數 F ( s) = 的逆拉式轉換(inverse Laplace transform)?
(A) 5 sinh 5t +cosh 5t (B) 5 cosh 5t + sinh 5t (C) 5 cos 5t + sin 5t (D) 5 sin 5t + cos 5t
17 已知 F ( s ) = ℑ{ f (t )}為 f (t)的傅立葉轉換(Fourier transform),f *(t)為 f (t)的共軛複數(complex conjugate),其中 s = jω,下列何者錯誤? (A)f *(t)的傅立葉轉換為 F*(–s) (B)f *(–t)的傅立葉轉換為 F*(–s) 1 s (C)f (–t)的傅立葉轉換為 F(–s) (D)f (3t)的傅立葉轉換為
二、利用級數 y = 解微分方程式 ( x + 1) y ′ = y ,其中 y ′ =。(10 分)
三、請求出週期函數 f ( x ) = ,其中 − π < x < π 之傅立葉級數,再利用此級數證明 。(15 分)
四、試求積分 ,其中 C 為逆時針方向的圓積分路徑 |z| = 4 。(10 分)