阿摩線上測驗
登入
首頁
>
統計學
> 108年 - 108 公務升官等考試_薦任_統計:統計學#80513
108年 - 108 公務升官等考試_薦任_統計:統計學#80513
科目:
統計學 |
年份:
108年 |
選擇題數:
0 |
申論題數:
10
試卷資訊
所屬科目:
統計學
選擇題 (0)
申論題 (10)
⑴求出變數 S 與 T 之聯合累積分配函數(joint cumulative distribution function),F(s, t)。(10 分)
⑵求出變數 S 與 T 之共變異數Cov(S, T)。(10 分)
⑶求出機率P(S > 50, T >100)。(10 分)
⑴求出給定Y = 8之下,(X, Z)之條件機率密度函數。(10 分)
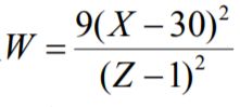
⑵令變數
,求出變數 W 之分配。(10 分)
⑶ 求 出 條 件 期 望 值 的 變 異 數 V[E(X |Y )] 及 條 件 變 異 數 的 期 望 值 E[V (X |Y )]。(10 分)
⑷令變數U = 2X +3Y − Z ,V = X − 2Y + Z ,求出給定V = 23之下,U 之 條件機率分配。(10 分)
⑴求出變數 B
i
的變異數 Var(B
i
)之最小變異不偏估計量(uniformly minimum variance unbiased estimator)。(10 分)
⑵ 求 出 上 述 Var(Bi) 之 不 偏 估 計 量 的 變 異 數 的 Cram’er-Rao 下 限 (Cram’er-Rao lower bound)。(10 分)
⑶ 求出勝算(odds)
之最大概似估計量(maximum likelihood estimator)。(10 分)
相關試卷
115年 - 115 身心障礙特種考試_四等_經建行政:統計學概要#138995
115年 · #138995
115年 - 115 關務特種考試_三等_關稅統計(選試英文):統計學#138987
115年 · #138987
115年 - 115 身心障礙特種考試_三等_統計:統計學#138977
115年 · #138977
115年 - 115 關務特種考試_四等_關稅統計(選試英文):統計學概要#138961
115年 · #138961
115年 - 115 身心障礙特種考試_三等_經建行政:統計學#138960
115年 · #138960
114年 - 114 地方政府公務、離島地區公務特種考試_三等_經建行政、農業行政:統計學#134798
114年 · #134798
114年 - 114 地方政府公務、離島地區公務特種考試_四等_經建行政:統計學概要#134781
114年 · #134781
114年 - 114 地方政府公務特種考試_三等_統計:統計學#134714
114年 · #134714
114年 - 114 地方政府公務特種考試_四等_統計:統計學概要#134710
114年 · #134710
114年 - 114 公務升官等考試_薦任_經建行政、工業行政:統計學#133268
114年 · #133268