所屬科目:初等/五等/佐級◆統計學大意
11 母體參數 θ 所使用的統計估計量分別為 S(X)和 T(X),下列敘述何者錯誤? (A)估計量 S(X)對 θ 的偏誤(bias)指的是此估計量的期望值與估計母體參數 θ 的真值之差(B)估計量 S(X)對 θ 具有一致性指的是當樣本數增加到無限大時,該估計量收斂到母體參數 θ 的真值的機率為 1(C)估計量 S(X)對 θ 具有最小充分統計量之性質,指的是若 T(X)對 θ 之充分統計量,則 S(X)<T(X)
(D)估計量 S(X)比估計量 T(X)對 θ 具有較高的有效性,指的是 S(X)比 T(X)具有較小的標準誤
14 在一個工業生產製程中,使用變異數分析來比較不同溫度下之機器生產的產量是否相同。以下資料 為工廠隨機選取 15 台生產機器並分別在三種不同溫度下所生產的產品數目:若已知處理(treatment)平方和 SSTR=70,誤差(Error)平方和 SSE=236,下列何者正確?(A) MSTR=25, MSE=19.67,F=1.27 (B) MSTR=35, MSE=19.67,F=1.78(C) MSTR=22.67, MSE=12.3,F=1.84 (D) MSTR=38.19, MSE=19.67,F=1.93
18 在線性模式中,假設 yi = µ + ei ,i=1, 2, 3,…, n 其中 ei,i =1, 2,…,n 為兩兩獨立、期望值 E(ei) = 0 與變異數 Var(ei) = σ2 的隨機變數,下列敘述何者錯誤?(A)E[yi] = μ(B)Var[yi] = σ2(C)共變數Cov[yi,yj] = 2σ2(D)
19 下表為調查女性婚姻次數與是否完成高等教育所做的資料整理。 下列敘述何者正確?(A)只有一次婚姻的人數為 1231 人 (B)使用獨立性檢定下,其自由度為 2(C)只有一次婚姻的人數占總人數的 82% (D)未完成高等教育且只有一次婚姻的人數為 581 人
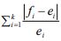
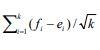
20 在適合度檢定裡,假設有k 個群體,令 fi 與 ei 分別為第 i 個群體的觀察次數與期望次數,i=1, 2,…,k,下列何者為正確的卡方檢定統計量?(A)(B)(C)(D)
21 如果 X1,...,Xn 是相互獨立的隨機變數,有關最大概似估計(maximum likelihood estimation)之敘述,下列何者錯誤?(A)(B)(C)(D)
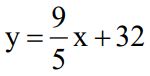
25 某地區的 6 月份平均氣溫是攝氏 26 度,標準差是攝氏 5 度。如果改用華氏溫度(y)來表示(當攝 氏溫度為 x 度時,華氏溫度),求 6 月份該地區的平均氣溫和標準差:(A) 78.8;5 (B) 78.8;9 (C) 46.8;5 (D) 46.8;9
29 以 30 位個人之年收入(Y, 以千元為單位),及其年齡(X1)和性別(X2,男性:0,女性:1),求 得迴歸模型估計如下:,且 SST=1,200,SSE=384。下列何者錯誤?(A)女性比男性多 3,000 元 (B)對 24 歲的女性而言,其年收入平均為 49,800 元(C)複判定係數為 0.68 (D)檢定模型是否顯著的統計量為 5.22.
30 成人 偏好咖啡的期望人數為:(A) 100 (B) 150 (C) 175 (D) 200
32 已知某產品銷售量可以自我迴歸模型 AR(3)估計,其估計模型如下: ,若 2016、2017、2018 年銷售量分別為 867、923、951,試估計該產品在 2020 年銷售量?(A) 952.45 (B) 951.64 (C) 950.13 (D) 948.76
33 某公司在過去 3 年每一季的營業額(單位:百萬)如下:下列各季季節指數(seasonal index),何者錯誤?(A)第 1 季:0.9 (B)第 2 季:0.545 (C)第 3 季:1.4 (D)第 4 季:1.05