所屬科目:初等/五等/佐級◆統計學大意
1 已知 A、B 為樣本空間 S 之兩事件,且為 A、B 的補集事件。已知 ,,則(A) (B) (C) (D)
2 間斷隨機變數 X 的機率函數為 f (x) = , x = 1, 2, 3, 4, 5 。請問 A =? (A) (B) (C) (D)
3 f ( x) 為連續隨機變數 X 的機率密度函數,則下列何者不是 f ( x) 所必須具備的性質? (A) f ( x) ≥ 0 (B) f (x) ≤ 1 (C) (D)
5 隨機變數 X 的機率函數如下表,請問 X 之變異數為何?(A)0 (B)1 (C)2 (D)
6 抽樣調查 800 位某地區民眾的宗教信仰分布如下表: 在顯著水準 α = 0.05 下,檢定該地區居民宗教信仰比例結構是否如 H0 所描述。H0:p1 = 0.12, p2 =0.54, p3 = 0.34;H1:H0 不成立。其中 p1 表示 A 宗教信徒所占的比例,p2 表示 B 宗教信徒所占的比例,p3 表示 C 宗教信徒所占的比例。請問檢定結果為何? (A)卡方檢定量為 6.228214,拒絕 H0 (B)卡方檢定量為 6.228214,不拒絕 H0 (C)卡方檢定量為 0.228214,拒絕 H0 (D)卡方檢定量為 0.228214,不拒絕 H0
10 投擲公平的骰子兩次,事件 A 表示「第一次出現偶數」,事件 B 表示「第二次出現 5 或 6」,請問 下列敘述何者錯誤? (A) P (A) = (B) P(B) = (C) P( A ∩ B) = (D) A 與 B 為不獨立之兩事件
11 無限母群體隨機變數 X 的期望值 μ = 30 ,變異數 σ2 = 10 ,從這個母群體中隨機抽取 20 個樣本。請問樣本平均數的期望值為何? (A)30 (B)3 (C) (D)10
12 常態母群體之期望值為 10,變異數為 441。從這個母群體中隨機抽出 49 個樣本, 為樣本平均數。 請問= ? (A) 0.1587 (B) 0.8185 (C) 0.3847 (D) 0.7381
13 欲檢定貸款信用狀況與所得水準是否相關,抽樣調查 102 位貸款人,以還款信用狀況與所得水準將 他們歸類成下表: 在顯著水準 α = 0.025 下,使用卡方檢定信用狀況與所得水準是否相關。下列何者為卡方檢定之結果?(A)卡方檢定量為 0.3276,檢定結果為信用狀況與所得水準不具顯著相關性 (B)卡方檢定量為 0.3276,檢定結果為信用狀況與所得水準顯著相關 (C)卡方檢定量為 10.8762,檢定結果為信用狀況與所得水準不具顯著相關性 (D)卡方檢定量為 10.8762,檢定結果為信用狀況與所得水準顯著相關
16 X ~ N ( μ , σ2 ) 且 σ2 未知。抽樣自這個母群體的 10 個隨機樣本為 3,7,5,13,16,12,17,8,11,14。請問 μ 的 99%信賴區間為何?(A)(10.387, 13.093)(B)(9.139, 14.861)(C)(8.324, 15.787)(D)(5.77, 15.43)
18 X ~N (μ , 20) ,隨機樣本為 12,10,15,18,22,19。在 α = 0.05 下,檢定 H0 : μ ≤ 12 , H1 : μ > 12 。 下列何者為檢定結果? (A)檢定統計量為 2.19,不拒絕 H0 (B)檢定統計量為 2.19,拒絕 H0 (C)檢定統計量為 1.52,不拒絕 H0 (D)檢定統計量為 1.52,拒絕 H0
20 在一個 2 ✕ 3 的列聯表中,使用顯著水準 α = 0.05 進行卡方獨立性檢定。請問下列敘述何者正確? (A)當所計算出之卡方統計檢定量大於時,拒絕 H0 的假設 (B)當所計算出之卡方統計檢定量大於 時,拒絕 H 0 的假設(C)當所計算出之卡方統計檢定量大於時,拒絕 H0 的假設 (D)當所計算出之卡方統計檢定量大於時,拒絕 H0 的假設
22 一區集實驗設計之變異數分析表如下,請問表中 a 、 b 、 c 的值各為多少? (A) a = 19, b = 5, c = 1.75 (B) a = 19, b = 5, c = 5.53 (C) a = 51, b = 8, c = 1.75 (D) a = 51, b = 8, c = 5.53
23 在單因子實驗設計 , j = 1, 2,3 中,樣本資料如下表所示。請問的估計值為何? (A)4 (B)-4 (C)0 (D) 21
24 請問迴歸線係數 b0 , b1 的最小平方估計值為何?(A) (B) (C) (D)
27 請問迴歸模型中,誤差項之變異數估計值()為何? (A) 0.08 (B) 0.10 (C) 0.13 (D) 0.20
28 A、B 為樣本空間的二個事件,為 A 的補集事件。請問下列條件機率之敘述何者錯誤? (A) (B) (C) (D) P ( B ∩ A) = P ( B ) ✕ P ( B | A)
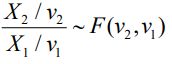
29 X1 及 X2 為兩個自由度 v1 及 v2 的獨立卡方隨機變數,即。則下列敘述何者 正確?(下列 F ( a , b) 表示自由度為 a , b 的 F 分配。) (A) (B) (C) (D)
30 隨機變數 X 的機率函數為, x = 1, 2,... ,則 E ( X ) = ? 1 (A)p (B) (C) p (1 - p ) (D) p2
32 X 是變異數為λ的卜瓦松分布,如果 P(X = 0) = p,請問 X 的平均值為何? (A) λ2 (B) - ln (p) (C) (D) ln (p)
33 X、Y、Z 是獨立的隨機變數且平均數為 μ ,變異數為σ2 ,請問 X + cY 與 Y + cZ 的相關係數為何? (A) (B) (C) (D)
34 患者必須進行一系列的注射。任何一次注射出現不良反應的機率為 0.1,並且在兩次不良反應後必須 停止注射。如果這些注射是獨立的,注射暫停時正好有 5 個注射是沒有不良反應的機率為何? (A) (B) (C) (D)
35 已知 X 1 , X 2 為期望值 μ ,變異數σ2 的獨立隨機變數。令 ,下列敘述何者正確? (A) (B) (C) (D)
37 設 ( X 1 , X 2 ,..., X n ) 為取自某常態母體的一組隨機樣本,若 a > 0 且為母體平均數 μ 的一 個區間估計,下列何者不能使得信賴區間長度 2a 變小? (A)母體平均數變小 (B)增加樣本量 (C)母體變異數變小 (D)降低估計的信賴係數(信心水準)
38 令 X 代表每位高中生平均每天研讀數學的時間(以小時計),則 W = 7(24 - X ) 代表每位高中生平均 每周花在研讀數學以外的時間。令 Y 代表每位高中生數學學科能力測驗的成績。X,Y 之相關係數為 ; W,Y 之相關係數為 ,則與兩數之間的關係,下列選項何者正確? (A)= 7 (B)= - 7 (C)= (D)= -