所屬科目:初等/五等/佐級◆統計學大意
2 從一副 52 張牌的撲克牌中隨機抽取兩張牌(不放回),兩張都是 A 的機率為何? (A) (B) (C) (D)
4 給定一組母體資料集,其母體平均值及變異數分別為 30 和 4,則至少有多少資料會落在(25, 35)的區間內? (A) (B) (C) (D)
8 以下為一個班級學生的考試成績所得到之莖葉圖。求中位數。 (A) 61 (B) 62 (C) 61.5 (D) 62.5
13 考慮從機率分配函數為 f ( x) = , 0 < x < 2 的母體中隨機抽取 36 個樣本,試問樣本平均數 X 的變異數 2 為何?(A) (B) (C) (D)1
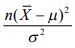
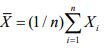
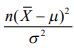
16 假設 X1 , X2 ,..., Xn 為從平均值 μ 、變異數 σ 2 的常態分配中,所抽取出的隨機樣本,令 ,則 i =1 下列敘述何者錯誤? (A) 為 μ 的不偏估計式 (B) 為 μ 的最大概似估計式(C) 的期望值為 2 (D) 的變異數為 2
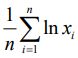
21 令。θ 的最大概似估計值為: (A) (B) (C) (D)
23 某產品之組合方法有兩種,若兩種方法之組合時間資料皆為變異數相等的常態分配。今對第一種方法抽 取 16 個樣本,得其組合時間之樣本平均數及變異數分別為 = 30 , s12 = 5 ;另由第二種組合方法抽取 11 個樣本,得其組合時間之樣本平均數及變異數分別為 = 27 , s22 = 4 ,試問如要檢定兩種組合方法之平 均值是否相等,則計算出來的檢定統計量約為何? (A) 3.571 (B) 1.665 (C) 3.648 (D) - 3.648
24 某公司欲調查員工對新的獎金制度是否滿意,分別自行政及業務二部門隨機抽取員工,滿意及不滿意的 人數統計如下。欲檢定各部門滿意之比例是否相同,檢定統計量為何? (A) 5.657 (B) 6.172 (C) 7.234 (D) 4.269
29 某研究機構認為體重 (Y ) 和個人每天運動多少小時 ( X ) 有關,因此收集了30筆資料,並得到下列總結 數字: 。 試問體重 (Y ) 和個人每天運動時間 ( X ) 兩變數的相關係數約為何? (A) 0.794 (B) - 0.794 (C) 0.891 (D) - 0.891
31 為了研究顧客打電話報修時之通話時間(X)與需要維修的零件個數(Y)之間的關係,隨機抽取了 10 通 電話。資料包括以分鐘為單位的通話時間和需要維修的零件個數。得到迴歸模型: = -1.2 + 0.6 X 。 若某通報修電話 6 分鐘,需要維修的零件是 2 個。用這個迴歸模型預測的殘差為何? (A) 3.6 (B) - 3.6 (C) 0.4 (D) - 0.4
32 成人的肌肉質量會隨著年齡的增長而減少。根據隨機選取的 60 名成人之肌肉質量及年齡做迴歸模型分 析,結果如下。如果要檢定年齡和肌肉質量之間是否存在線性相關,檢定統計量為何? (A) 28.36 (B) - 1.19 (C) - 13.22 (D) 0.09
33 假設利用 29 筆成對資料 (x, y) 建立簡單線性迴歸模型,在滿足迴歸模型誤差項為常態的基本假設下, 建構的迴歸直線為= 5 + 7 x ,其對應的判定係數為 R2 = 0.75 。如欲使用 T 檢定來檢定母體相關係數是否 為 0,試問檢定統計量的值為何? (A) 81 (B)9 (C) 0.75 (D)7
34 下表是依據某產品包裝顏色及購買年齡層的銷售量資料。 如果包裝顏色及購買年齡層是獨立的,20 歲以下購買黃色產品的期望值為何? (A) 16 (B) 20 (C) 24 (D) 80
37 某校系想了解該系學生畢業流向選擇情形是否跟性別無關,今隨機抽取已畢業之系友,得到次數資料如下:下列敘述何者正確? (A)可用自由度為 6 的卡方分配來檢定 (B)此檢定之對立假設為學生畢業後流向選擇情形跟性別無關 (C)此檢定計算出之檢定統計量的值約為 13.42 (D)此檢定因有一類別觀察次數只有 4 次,故無法執行假設檢定
40 某產品過去 10 星期銷售數量如下: 使用指數平滑化法(exponential smoothing),平滑常數為 0.2,第 3 週的預測誤差為何? (A) 2.2 (B) - 2.2 (C) 2.8 (D) - 2.8