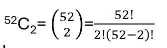
2 從一副 52 張牌的撲克牌中隨機抽取兩張牌(不放回),兩張都是 A 的機率為何?
(A)
(B)
(C)
(D) 
答案:登入後查看
統計: A(1), B(4), C(52), D(4), E(0) #3049561
統計: A(1), B(4), C(52), D(4), E(0) #3049561
詳解 (共 4 筆)
#5763060
C⁴₂/C⁵²₂=6/1326=1/221
A的機率有4張取2張,全部有52張取2張。
A的機率有4張取2張,全部有52張取2張。
1
0
#5874943
從一副 52 張牌的撲克牌中隨機抽取兩張牌(不放回)
第一張抽A的機率4/52
第二張抽A的機率3/51
兩個相乘約分到最簡=1/221
1
0
#7005508
有組合、條件機率的乘法法則兩種算法,這邊用組合
(1)解釋52張牌抽取兩張不考慮順序的組合

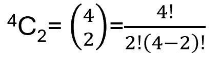
(2)兩張都是A,就是4張A取2

(3)計算如下:
C(52,2)=1326
C(52,2)=1326
C(4,2)=6
機率為6/1326=1/221#
ㅤㅤ
第二種方法,相依用條件機率:
A1=第一次抽取到 A 牌
一、計算第一次抽都A的機率
P(A1)=4/52
二、在第一步已抽到A1,抽到A2的機率。(在A1發生前提的條件機率)
P(A2|A1)=3/51


ㅤㅤ
0
0