所屬科目:初等/五等/佐級◆統計學大意
4 隨機變數 X 服從指數分配(exponential distribution),其機率密度函數為。請問 該指數分配的中位數為多少?(A)2.008 (B)1.649 (C)1.386 (D)2.685
6 下列為 36 位臺北某餐廳服務人員的年齡累積次數(cumulative frequency)分配表: 根據此表,下列對該餐廳服務人員年齡的分配敘述何者最有可能正確?(A)眾數 < 中位數 < 平均數 (B)平均數 < 眾數 < 中位數 (C)眾數 < 平均數 < 中位數 (D)平均數 < 中位數 < 眾數
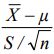
8 Xn ,X2 ,…, Xn 為 一 組 從 常 態 分 配 N (μ,σ2) 隨 機 抽 樣 得 到 的 樣 本 , 令樣本平均數 ,樣本變異數 ,下列敘述何者錯誤?(A) (n -1)S2 / σ 2為卡方( X2 )分配,自由度是 n (B)當 n 趨近於無窮大, 的分配會收斂到標準常態分配(C) 為 F 分配,其自由度 1 和 n - 1 (D)和 S2 相互獨立
12 某跨國企業管理階層想要比較兩個工廠 A 和 B 製造的不良品數目的變異程度(variance),下列為從 A 和 B 兩個工廠隨機抽樣的結果: 假設所有檢定的顯著水準都是 α = 0.05 , 另 給 定,下列何者最有可能正確? (A)工廠 A 的變異程度比較大 (B)工廠 A 和 B 的變異程度差異不顯著 (C)工廠 B 的變異程度比較大 (D)根據檢定的結果,無法下結論
13 為了測試新的線上學習系統成效,老師隨機從班上選取 8 位同學並記錄他們使用此系統前後的考試 成績: 令分別為使用系統後和使用系統前 8 位同學的平均成績、為對應的成績變異數、 且為成績相減後(後-前)的變異數。如果要檢定使用此線上學習系統後平均成績是否有顯著進 步,下列何者檢定統計量最為適當? (A) (B)(C)(D)
15 下列資料是從美國三家大企業隨機抽出的資料科學家年薪(以萬元美金為單位): 如果用變異數分析來檢定這三家企業的資料科學家平均年薪是否相同,在給定α =0.05 下,下列何 者為該檢定的拒絕域臨界值?(下列符號 F (a,b) α 為右尾機率α 且自由度為(a, b)的 F 分配臨界值) (A) (B) (C) (D)
16 下列為二因子變異數分析的部分輸出結果,其中因子 A 有 4 群,因子B有 5 群: 如果要檢測因子 A 和因子B是否存在交互作用,計算出來的檢定統計量 F 值等於多少? (A)0.5625 (B)1.875 (C)3.608 (D)2.50
17 根據調查,大學生每天上網時間(X)和統計學考試成績(Y)的散布圖(scatter plot)如下: 根據上圖,X 和 Y 的相關係數最有可能為下列那一個? (A)0.498 (B)0.867 (C)-0.762 (D)-0.016
18 下表為迴歸模型 的變異數分析輸出結果: 根據上表,Y 變數的變異程度可以讓 X 變數解釋的百分比為多少? (A)33.3% (B)50.0% (C)66.7% (D)90.0%
19 下列為最小平方法得到的迴歸估計式 = a + bX 的殘差分析圖:根據此殘差分析圖,下列那一個迴歸分析的假設最有可能是不成立的? (A)Y 和 X 的關係約為一直線 (B)給定 X 值,Y 值服從一個常態分配 (C)給定 X 值,Y 的變異程度為一常數 (D)Y 值之間為相互獨立
20 檢定母體平均數時考慮一虛無假設 H0 : μ≤10 和下列的決策準則:如果樣本平均數>15 ,則拒絕 H0。如果母體真正的平均數為 μ =13 ,下列何者決策準則為造成型 II 誤差的機率? (A) P(>15| μ =13) (B) P(>15| μ =10) (C) P( ≤15| μ =13) (D) P( ≤15| μ =10)
21 考慮一簡單迴歸分析,Y 為反應變數,X 為自變數,假設現在共有 15 組觀測值。 若知道 ,則測量標 準誤(standard error of estimate)為多少? (A)0.891 (B)1.254 (C)0.207 (D)0.608
25 根據世界綠色和平組織的抽樣調查和迴歸分析,得到一個估計式= 0.5 + 0.006X ,其中 Y 為大氣增 加的溫度(華氏℉),X 為空氣中二氧化碳濃度的增加量(PPM),且 R 2高達 0.92。如果現在將同 一筆資料溫度 Y 的單位改成攝氏(℃),並重新計算迴歸估計式,則下列敘述何者正確?(註:華 氏=( 攝氏 )+32) (A)迴歸估計式的截距項變成-31.5 (B)R 2數值不會改變 (C)X 的係數估計值變成0.0108 (D)迴歸估計式的截距項變成 32.9
27 過去兩年每個季節臺北市豪宅的交易數目如下: 若冬、春、夏、秋的季節指數(seasonal index)分別為 1.2、0.8、1.3、0.7,且去除季節性因素後交 易數目(Y)和季節(t)之間的迴歸估計式為= 98 + 6t ,其中 t = 1 代表 2018 年的冬天,t = 2 代表 2018 年的春天,依此類推。請問 2020 年春天臺北市豪宅的交易數目估計約為多少? (A)126 (B)158 (C)185 (D)198
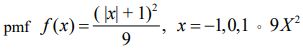
29 令隨機變量 X 具有的期望值為何? (A) (B)4 (C) (D)8
30 假設手稿中的印刷錯誤數量是卜瓦松(Poisson)分配,某本 500 頁的手稿有 200 個印刷錯誤。某頁 完全沒有錯誤的機率為何? (A) (B) (C)0.4 (D)0.6
37 為了瞭解電腦中需要修理的零件個數是否影響客服電話的時間長短(分鐘),抽取了 5 通客服電話。 以最小平方法得到下列迴歸模型: 如果某通客服電話的時間是 14 分鐘,所需要修理的零件數是 6 個。依據迴歸模型,殘差為何? (A)1.6 (B)-1.6 (C)15.6 (D)-15.6
39 為了研究某品牌手機在北中南三個地區銷售量是否有差異,隨機在三個地區各選 5 家經銷商,其銷 售量如下: 如以 ANOVA 檢定北中南三個地區銷售量是否有差異,組間變異量(Sum of Square Between / Among) 為何? (A)14 (B)30 (C)35 (D)70