所屬科目:工程數學(應用數學, 線性代數、微分方程、複變函數與機率)
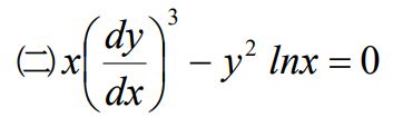
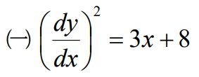
(二)
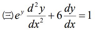
(三)
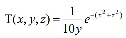
二、求 在 P(0, 10, 0) 點 往 a = (1, 1, 1) 之 方 向 導 數 10 y (directional derivative)。(10 分)
(一)其中 C 為單位圓。 z3 -6
(二) 其中 C 為單位圓。
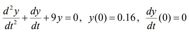
六、利用拉式轉換(Laplace Transform)解以下微分方程式,求出 y(t)。 (15 分)
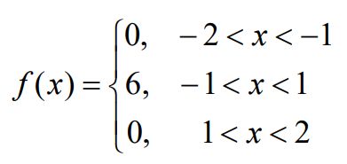
七、使用傅立葉級數表示以下週期性函數,其中 P(週期)= 4。 (15 分)