所屬科目:技檢◆電力電子-乙級
2. 下圖所示電路之輸出 Y 為(A)B(B)1(C)A(D)0。
4. 下圖所示電路中,I 1 之電流應為多少安培?(A)10A(B)30A(C)8A(D)20A。
5. 用示波器量測單相交流電壓源之電壓波形,若衰減比為 10 倍,電壓刻度為 5V /DIV,其電壓波形峰 對峰值為 6 刻度,此電壓有效值約為(A)200V(B)300V(C)150V(D)150/ V。
11. 下圖中 FRD 之功用為何?(A)電感性負載時,回生電流之回路(B)鉗位用(C)整流用(D)dv/d t 之保護。
15. 下圖之數位邏輯電路之布林(Boolean)函數為(A)Y =A +B(B) (C) (D)Y=A‧B。
20. 下圖中,電流 I 1 約為多少?(A)1.6A(B)1.2A(C)2.1A(D)0.7A。
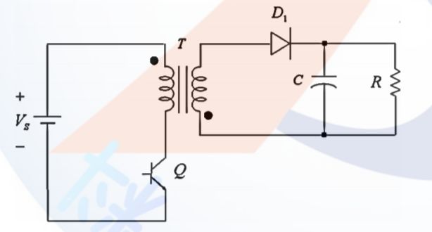
22. 下圖所示之電路為何種類型之轉換器?(A)順向式(forwa rd)轉換器(B)推挽式(push-pull)轉換器(C)返馳 式(flyback)轉換器(D)全橋式(full bridge)轉換器。
33. 下圖所示電路中,節點 c 的電壓為多少伏特?(A)4(B)14(C)-12(D)9。
37. 下圖為二極體組成之邏輯電路,若為正邏輯定義,則其輸出 Y 的布林(Boo lean)函數為(A)Y =A.B. C(B)Y=A+B+C(C)Y =A⊕B⊕C(D) 。
40. 二極體單相橋式全波整流器之電源為 Vm sin377t 伏,則平均輸出電壓 Vdc 為:(A) Vm/π(B)V m/ π(C)Vm/π(D)2Vm/π。
45. 下圖為何種開關元件的符號?(A)IG BT(B)MO SFET(C)BJT(D)GTO。
49. 下圖所示電路中,電容器{C}之大小為 10mF,先充電至 100V 後,打開開關,則此電容器儲存能量 大小為多少焦耳?(A)66.7(B)50(C)200(D)100。
55. 交流電流 i=I msinωt 之有效值為何?(A) (B) (C)Im(D) 。
63. 下圖所示之電路,若 V=100V,求電壓表 V1,V2 和 V3 的讀值(保險絲為理想,視同短路)(A)V1 =0V(B)V1=100V(C)V3=100V(D)V2=100V。
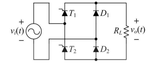
64. 下圖所示為單相半控全波全橋整流電路,交流電源 ,若負載電阻為 20 Ω,觸發延遲角為 30°,下列哪些選項正確?(A)負載平均功率約為 699W(B)負載端電壓平均值為 120V(C)負載電流有效值約為 5.91A(D)電源端的功率因數約為 0.986。
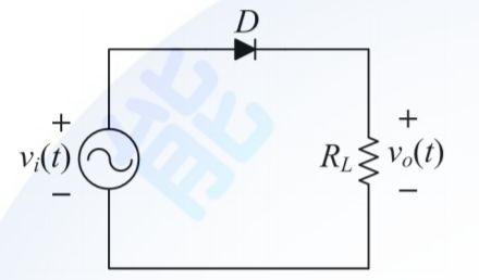
65. 下圖所示單相半波整流電路具有純電阻負載,輸入電源為 110V、60Hz,電阻負載為 5Ω,下列哪 些選項正確?(A)二極體 D 峰值逆向電壓為 110V(B)送至負載之平均功率約為 1210W(C)負載之電壓有效值約 77.8V(D)負載之電壓平均值約 49.5V。
67. 布林(Boo lean)函數 ,其中 0 表示低電位,1 表示高電位;下列何者正確?(A)A=0,B=0,則 F=0(B)A=0,B=1,則 F=0(C)A =1,B=1,則 F=0(D)A =1,B=0,則 F=1。
68. 下圖所示之具有濾波電容橋式全波整流電路,輸入電源為, 表示頻率(Hz),下列哪些選項正確?(A)二極體截止時輸出電壓為 0V(B)二極體電流為正弦波(C)二極體導通時輸出電壓為 (D)峰對峰值輸出漣波電壓約為 。
71. 下圖所示電路,下列敘述何者正確(A)其閉回路增益為 -1(B)該電路具有高輸入阻抗及低輸出阻抗(C)該 電路為非反相放大器(D)該電路為反相放大器。
74. 有一負載之端電壓及端電流分別為 及 i(t)=60 cos(ωt-3 0°)+20 cos(3ω+30°)+12 cos(5ωt-60°)+9 (7ωt)A,式中 ω=377rad/s,下列哪些選項正確?(A)端電壓有效值約為 253V(B)送至負載之平均功率約為 21500W(C)功率因數約為 0.843(D)電流總諧波失真約為 0.4167。
75. 交流負載以相量(phasor)表示 ,其負載端電壓 E 與負載電流 I 以有效值表示,下列何者正確? (A)P=EIcosθ(B)P=EIs inθ(C)Q =EIcosθ(D)Q =EIsinθ。
76. 下列選項中哪些屬於空乏型金屬氧化物半導體場效電晶體(deple tion mode MOSFET)之元件符號? (A) (B) (C) (D) 。
79. 下圖為昇壓型轉換器,開關元件 S1 的切換頻率為 25kHz,輸入電壓 Vs 為 12V,輸出電壓 V0 為 15 V,若電感電流為連續模式操作,則下列何者為正確?(A)開關元件 S1 的導通時間為 32μs(B)開關元件 S1 的導通責任週期為 0.2(C)開關元件 S1 的導通責任週期為 0.8(D)開關元件 S 1 的導通時間為 8μs。