所屬科目:教甄◆數學
1. 試問方程式實部為負的複數根有____個。
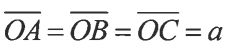
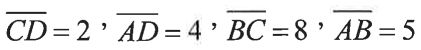
2. 有一四面體O-ABC,其底面ABC是邊長為4的正三角形,且知 ;若直線 與直線 間的公垂線段長是, a = ____(以最簡分數表示)。
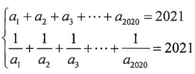
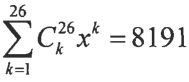
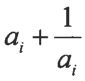
3. 考慮所有滿足 的 2020 個正數 a1,a2,a3,....,a2020,則對於i=1,2,....,2020, 最大值為____
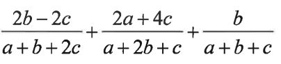
4. 設 a,b,c 為正實數,試求的最小值為____
5. 設實數a,b,c,d滿足a2+b2 = 4與(c-7)2 + (d-24)2 = 36,若的最大值為M,(a-c)2 + (b-d)2的最小值為m,則M + m =____
7. 球體 S:x2+y2+z2≦4被平面割成兩部份,求較小部份的體積為____。
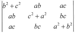
8. 設A= ,且f(x)=x5-7x4+9x3+9x2-7x+8,若f(A)=,試求h=____。
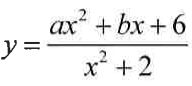
10. 已知函數 的最小值2,最大值6,求實數a = ____。
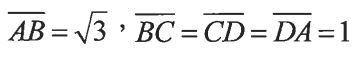
12. 圓內接四邊形ABCD,交 於M,,試問的比值為____。
15. 有一種遊戲叫做「九宮格」,就是被叫到的人,其座位周遭在九宮格內的人都要站起來,如圖座位標示「●」 被叫到時,周遭標示「☆」的人都要站起來。今已知甲乙兩位學生在同一班,而該班學生共5x5位,則當兩人任意坐時,甲被叫到而乙必須站起來的機率為,m+n=____。
16. 三角形的三邊長分別為,求此三角形面積為____。
17. 函數y = f(x)圖形如圖,則方程式f(f(x)) = -5的相異實根有____個。
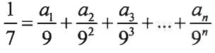
18.+.... 且ai, 則a300=____。
19. 凸四邊形ABCD中,,設S和T分別為△ABD和△BCD的面積,則S2+T2的最大值為____。
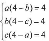
20. 已知實數a,b,c滿足 ,則a+b+c =____。
21. 長方形如下圖,E、F分別在邊上,已知△ADE、△BEF、△CDF的面積分別為2、3、4,則△DEF的面積為____。
22. 設複數,則 |z-z1|+|z-z2| 的最小值為____。
23. 設a,b,c 為 x3-3x2 + 6x-1=0 的三根,求=____。
25. 參考下表:「表燈」是指供給用電設備容量不足100瓩者(住宅用電大都皆屬此類)。「非時間電價」指每月電費按用電度數採分段累進計費,不因日、夜間不同而有差異。用電戶每2個月抄表、收費一次,計費時各段度數加倍計算。若某表燈非營業用戶:7,8月2個月共用電920度,試問當期應繳電費為____元。